Ruta del ácido shikímico
La ruta del ácido shikímico es un conjunto de reacciones metabólicas de gran relevancia en la biosíntesis de los tres aminoácidos proteínicos aromáticos fenilalanina, tirosina y triptófano, así como una extensa gama de metabolitos secundarios. El ácido shikímico es precursor de diversos intermediarios metabólicos aromáticos, tales como los taninos, el cloranfenicol, el ácido 4-aminobenzoico, los fenilpropanoides, los lignanos, los aminoácidos aromáticos, así como sus derivados: glucósidos cianogénicos aromáticos, aminas biógenas aromáticas, catecolaminas, betalaínas, melaninas, bisindoles, los flavonoides, las fenazinas y diversos alcaloides entre los cuales se encuentran los alcaloides tetrahidroisoquinolínicos, los alcaloides del ergot y los morfinanos, entre otros. El intermediario principal es el ácido shikímico, un compuesto originalmente aislado de plantas del género Illicium. En compuestos aromáticos derivados del ácido shikímico, las posiciones oxigenadas son de tipo catecol (orto) o pirogalol (diorto), y en el caso de los fenoles monooxigenados son generalmente p-hidroxi-compuestos.[1][2][3]
Distribución
Esta ruta es empleada por bacterias, algas, plantas y algunos hongos pero no por animales y protozoarios. Sin embargo, los tres aminoácidos aromáticos son esenciales para la vida.[4]
Principales rutas
El ácido shikímico se puede dividir en las siguientes secciones:
- Biosíntesis del ácido shikímico y los taninos hidrolizables: En esta etapa se forma el anillo aromático, el cual se conserva a lo largo de todas las rutas.
- Rutas del corismato: En esta sección se incorpora una nueva molécula de fosfoenolpiruvato (PEP). El anillo insaturado se activa para dar una eliminación adicional y formar un sistema aromático. En esta etapa se puede incorporar nitrógeno al anillo de benceno.
- Rutas del 1,4-dihidroxinaftoato: El corismato se condensa adicionalmente con un equivalente nucleofílico de cuatro carbonos y esqueleto lineal para formar naftoquinonas de origen no policétido. La adición de un poliprenilo adicional conlleva a la formación de antraquinonas y vitaminas K.
- Rutas fenilpropanoides: Durante esta etapa, la unidad recién incorporada de PEP puede transponerse y conectarse al anillo de benceno para formar el ácido prefénico. Esto explica la relevancia del esqueleto de fenilpropano como prototipo estructural biosintético. De aquí provienen la fenilalanina, la tirosina, así como los fenilpropanoides y sus derivados.
- Ruta del antranilato-triptófano: El ácido antranílico puede formar sistemas heterocíclicos fusionados tipo quinazolina o condensarse con esqueletos adicionales de carbono. Durante una de estas condensaciones se pueden formar heterociclos de quinolina, acridina, carbazol e indol. Este último forma el triptófano y sus derivados. Cuando el triptófano se escinde en el anillo indólico (la escisión del anillo aromático es menos frecuente) forma la quinurenina, la cual consta de un esqueleto tipo ácido antranílico pero con cuatro carbonos en su cadena lateral.
Biosíntesis del shikimato
Ruta del 3-deshidroquinato
El ácido shikímico se biosintetiza originalmente del fosfoenol piruvato y la eritrosa 4-fosfato para formar el precursor denominado ácido 3-deshidroquínico. Este ácido puede formar varios metabolitos, como el ácido gálico, el ácido protocatequico, el ácido quínico y el ácido shikímico:[5]
- Ruta de biosíntesis del ácido shikímico y otros precursores
- El ácido gálico es precursor de los denominados taninos hidrolizables (Galotaninos y Elagitaninos)[6][7]
- La tanasa es una enzima que cataliza la hidrólisis de los taninos hidrolizables.
- El ácido quínico es precursor de varios metabolitos secundarios, como el ácido clorogénico.
- El ácido protocatéquico es un antimicrobiano presente en muchas plantas.
![]() |
![]() |
![]() |
![]() |
![]() |
Ácido tánico, un galotanino | Castalagina, un elagitanino | Casuarinina, un elagitanino | Granada (Punica granatum). Planta que produce diversos taninos. | El roble y otras plantas de la familia Fagaceae han sido utilizadas como fuente de taninos. |
Ruta del ciclohexanato
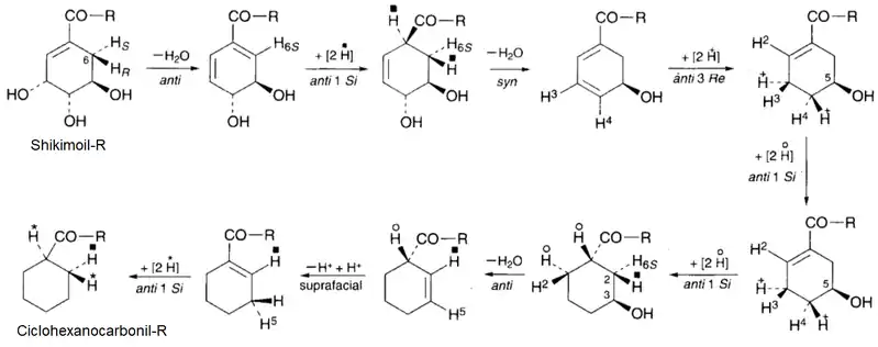
Mientras que el ácido gálico representa uno de los derivados más oxidados del ácido shikímico, por otra parte se tiene uno de los derivados más reducidos, el ácido ciclohexanocarboxílico. Es raro encontrarlo libre: más bien funge como residuo estructural de metabolitos más complejos, por ejemplo antibióticos como la ansatrienina, las trienomicinas, las tiazinotrienomicinas, la asukamicina y en los ácidos grasos ω-ciclohexílicos de ciertas bacterias termófilas y mesófilas (como Alicyclobacillus), por ejemplo el ácido ω-ciclohexilundecanoico.[8] Fleet y colaboradores [9] elucidaron los pasos de reducción del ácido shikímico hasta el éster del ácido ciclohexanoico:
![]() |
![]() |
Ruta del AHBA
Existen bacterias que han modificado la ruta de biosíntesis del shikimato de manera que se obtiene un derivado similar al ácido gálico pero con distintos patrones de grupos funcionales. Un ejemplo interesante es la biosíntesis del ácido 3-amino-5-hidroxibenzoico (AHBA). Específicamente, la biosíntesis comienza con la adición del fosfoenolpiruvato (PEP) a la eritrosa-4-fosfato. Al producto formado se adiciona una molécula de amoniaco para dar el ácido 4-amino-3-desoxi-D-arabino heptulosónico-7-fosfato (aminoDHAP). Después, la DHQ sintasa cataliza el cierre de un anillo para producir el ácido 4-amino-3-deshidroquínico (aminoDHQ). El producto sufre una doble oxidación vía aminoDHQ deshidratasa para dar el 4-amino-deshidroshikimato (aminoDHS). El intermediario clave, el ácido 3-amino-5-hidroxibenzoico (AHBA), se forma por aromatización de la AHBA.[10][11]

El AHBA es precursor de en las biosíntesis de todas las mitomicinas[12] procede por combinación de ácido 3-amino-5-hidroxibenzoico(AHBA), D-glucosamina (aparece mal representada abajo), y fosfato de carbamilo, y así se forma el anillo de mitosano. El núcleo de mitosano es sintetizado via condensación entre AHBA y D-glucosamina. Una vez que la condensación ha ocurrido, el mitosano sufre interconversiones de grupos funcionales.

El AHBA también es precursor de otros productos naturales anticáncer tales como la rifamicina y la ansamicina.

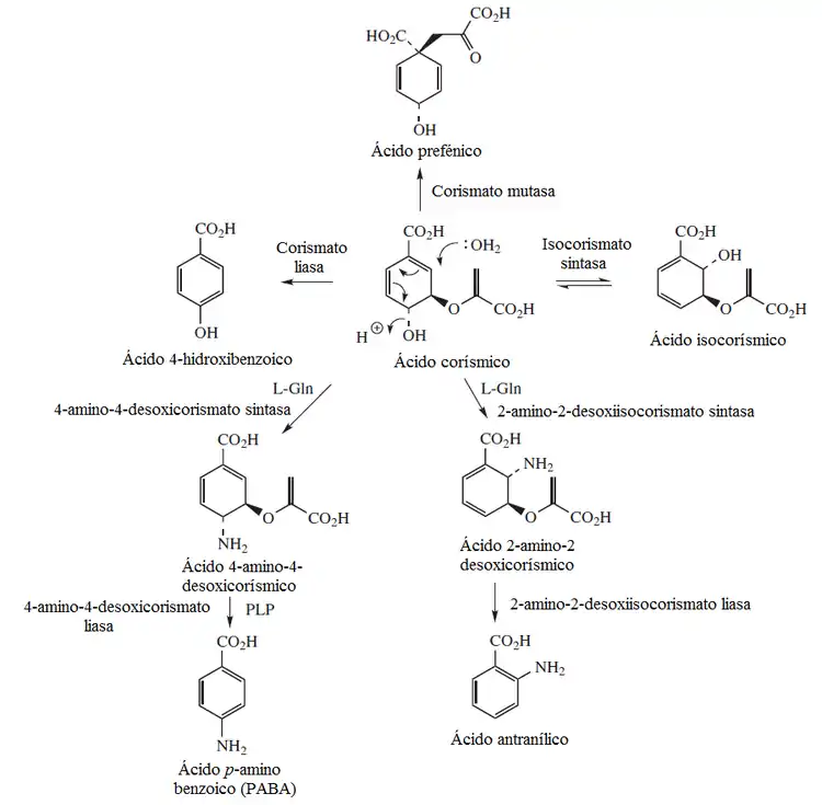
Ruta del corismato
Biosíntesis del corismato
El ácido shikímico puede producir por una vía enzimática de 3 pasos uno de los metabolitos intermedios más importantes de la ruta del ácido shikímico, el ácido corísmico:
En esta ruta se llevan a cabo 3 reacciones:
- Fosforilación del shikimato, en donde se forma el ácido 3-fosfoshikímico por acción de la shikimato quinasa y ATP;
- Conjugación con una molécula de fosfoenol piruvato por acción de la 3-fosfoshikimato 1-carboxiviniltransferasa, en donde se forma el ácido 5-enolpiruvilshikímico 3-P (EPSP)
- Eliminación del fosfato catalizada por la corismato sintasa.

Diversidad de las rutas de corismatos
El ácido corísmico puede producir metabolitos de gran diversidad bioquímica:

- El ácido isocorísmico, precursor del ácido salicílico y la vibriobactina, y el ácido 2,3-dihidroxibenzoico (ácido hipogálico), componente de los sideróforos catecólicos de bacterias, tales como la enterobactina, yersiniabactina, bacilibactina.
![]() |
![]() |
![]() |
![]() |
Enterobactina, sideróforo hipogálico. | Bacilibactina, sideróforo hipogálico. | Vibriobactina, sideróforo hipogálico. | Yersiniabactina, sideróforo salicílico. |

- Las fenazinas bacterianas se forman a partir del 2-desoxi-2-aminoisocorismato. La piocianina (PCN-) es un alcaloide fenazínico que constituye una de las muchas toxinas producidas y secretadas por la bacteria Gram negativa Pseudomonas aeruginosa. La piocianina es un metabolito secundario de coloración azul con la capacidad de oxidar y reducir otras moléculas y, por lo tanto, puede matar a los microbios que compiten contra P. aeruginosa así como a las células de los pulmones de los mamíferos a los cuales P. aeruginosa ha infectado durante la fibrosis quística. Dado que la piocianina es un zwitterión al pH de la sangre, es capaz de atravesar fácilmente la membrana celular. Para que la piocianina sea sintetizada por P. aeruginosa, dos genes específicos deben ser funcionales. MvfR es un gen que produce un factor de transcripción que activa los genes de phnAB. Estos genes producen la molécula quinolona que luego regula los operones 1 y 2 de phzRABCDEFG que son clave para la síntesis de fenazina.[13] La síntesis de piocianina se controla principalmente mediante el proceso de detección por señalización en quórum. Las cepas de P. aeruginosa que son incapaces de sintetizar piocianina aún se pueden beneficiar de sus efectos si la cepa ha coinfectado el pulmón con cepas naturales que puedan producir piocianina. La biosíntesis puede verse afectada al interrumpir la vía aro que es la responsable de la síntesis del ácido corísmico a partir del ácido shikímico. El ácido corísmico es el precursor de la piocianina, en la que se forma el intermediario aminado 2-desoxi-2-aminoisocorismato, que al ensamblarse con dos unidades tautoméricas distintas, genera el ácido fenazino-1-carboxílico. Este compuesto es precursor de otras fenazinas.[14]

- El ácido 4-hidroxibenzoico es un compuesto encontrado en todos los seres vivos. Es precursor de las ubiquinonas bacterianas, como Mycobacterium tuberculosis.[15] En las plantas y animales se forma por degradación de la tirosina a ácido p-cumárico y por β-oxidación.

- El ácido 4-aminobenzoico, el cual es requerido en la biosíntesis del ácido fólico.
- El ácido antranílico es precursor del triptófano, las quinolonas, las acridonas y algunos policétidos que utilizan al antranilato como unidad de iniciación.
- El ácido prefénico, precursor de los aminoácidos fenilalanina y tirosina.
Ruta del 1,4-dihidroxinaftoato
Las filoquinonas (vitamina K1) y las menaquinonas (vitamina K2) son derivados de la naftoquinona derivados del shikimato que se encuentran en plantas y algas (vitamina K1) o bacterias y hongos (vitamina K2). La estructura de filoquinona más común tiene una cadena lateral diterpenoide, mientras que el rango de estructuras de menaquinona tiende a ser bastante más amplio con 1-13 unidades de isopreno. Estas quinonas se derivan del ácido isocorísmico y de un precursor adicional con 4 carbonos proporcionados por el ácido 2-oxoglutárico, que se incorpora mediante un mecanismo que implica la coenzima tiamina difosfato (TPP), de manera análoga a la piruvato descarboxilasa. El ácido 2-oxoglutárico se descarboxila en presencia de TPP para dar el anión TPP de semialdehído succínico, que ataca al ácido isocorísmico en una reacción de tipo Michael. La pérdida del cofactor de tiamina, la eliminación del ácido pirúvico y luego la deshidratación producen el ácido o-succinilbenzoico intermedio (OSB). Esto se activa por la formación de un éster de coenzima A, y una condensación similar a Dieckmann permite la formación de anillos. El ácido 1,4-dihidroxinaftoico es el tautómero aromático más favorecido de la hidrólisis del éster de la coenzima A.

La OSB y el ácido 1,4-dihidroxinaftoico, o su tautómero diceto, se ven implicados en la biosíntesis de una amplia gama de naftoquinonas y antraquinonas vegetales.. Hay paralelismos con las últimas etapas de la secuencia de la menaquinonas, o diferencias de acuerdo con la especie de la planta en cuestión. Se encuentra que la sustitución de la función carboxilo por un sustituyente isoprenilo transcurre a través de un intermedio disustituido en plantas del género Catalpa (Fam. Bignoniaceae) y Streptocarpus (Fam. Gesneriaceae), como la catalponona, y esta puede transformarse en lapachol. La lawsona y la juglona se forman por secuencias oxidativas en la que para la laysona el hidroxilo reemplaza al carboxilo, mientras que en la juglona la descarboxilación, insaturación e hidroxilación parecen ser independientes. Otra ruta hipotética es la síntesis de un esqueleto de antraquinona ciclando de forma oxidativa (quizás radicalaria) a un sustituyente dimetilalilo en el sistema de naftaquinona.

.jpg.webp)



El ácido 1,4-dihidroxinaftoico es ahora el sustrato para la alquilación y la metilación como se ve con ubiquinonas y plastoquinonas. Sin embargo, se encuentra que el fragmento terpenoide reemplaza al grupo carboxilo, y el análogo descarboxilado no está involucrado. La transformación del ácido 1,4-dihidroxinaftoico en naftoquinona isoprenilada parece estar catalizada por un único enzima. Esto implica la alquilación, la descarboxilación del β-cetoácido resultante, y finalmente una oxidación a la p-quinona.

Ruta de las arilalaninas y fenilpropanoides
Ruta del prefenato: Biosíntesis de los aminoácidos aromáticos
Las rutas de los aminoácidos aromáticos L-fenilalanina y L-tirosina a partir del ácido prefénico pueden variar de acuerdo al organismo, y en muchos casos puede operar más de una ruta en una especie. En esencia, tres tipos de reacción están implicadas: Transaminación, aromatización descarboxilativa e hidroxilaciones, pero lo que cambia en los organismos es el orden en el que se llevan a cabo. Así, en algunos organismos se pueden producir tanto sustratos del ácido arogénico como del prefénico. Muchas bacterias y plantas tienden a sintetizar la fenilalanina y la tirosina por separado.



Los animales, en cambio, carecen de la ruta del ácido shikímico, por lo que la fenilalanina resulta esencial, no así la tirosina, la cual se puede obtener por la para-hidroxilación de la fenilalanina:

Ruta de los fenilpropanoides


.jpg.webp)
La L-fenilalanina y la L-tirosina son bloques de construcción para una amplia gama de metabolitos secundarios: los fenilpropanoides (Compuestos tipo C6C3). En plantas, el primer paso es la eliminación del nitrógeno de la fenilalanina en forma de amoniaco para generar el ácido trans-cinámico (En el caso de la tirosina se forma Ácido p-coumárico) Todas las plantas pueden desaminar fenilalanina por medio de la fenilalanina amoniaco liasa (PAL), pero la desaminación de tirosina parece ser más restringida a miembros de la familia Poaceae. La tirosina amoniaco liasa (TAL) ha sido encontrada en plantas y bacterias. Aquellos organismos que no pueden desaminar la tirosina obtienen el ácido p-coumárico por hidroxilación del ácido cinámico.

![]() |
![]() |
![]() |
![]() |
![]() |
![]() |
![]() |
Umbeliferona, una coumarina | Psoraleno, una furocumarina | Eugenol, un fenilpropeno | Magnolol, un neolignano fenilpropenoide | Cinamaldehído, derivado cinámico | Ácido fenilpirúvico
|
Alcohol coniferílico
|
Los arilpropanoides pueden formar tioésteres de arilpropionil coenzima A y trasferirse a diversos sustituyentes hidroxilo de aminoácidos (Ser, Thr), mononosacáridos o compuestos fenólicos.
![]() |
![]() |
![]() |
![]() |
Ácido chicórico, éster cafeico con ácido tartárico. | Ácido clorogénico, éster cafeico con un ciclitol. | Cinamilcocaína, ester cinámico con un tropano. | Sinapina, ester sinápico con colina. |


Hidroxifenilcarbonilos por degradación de fenilpropanoides
La degradación por β-oxidación¨ de los arilacrilatos y sus derivados de reducción (alcoholes y aldehídos) se pueden degradar para perder dos unidades de carbono y formar así derivados toluenos, formilfenoles y ácidos hidroxibenzoicos simples u O-metilados.

![]() |
![]() |
![]() |
![]() |
![]() |
![]() |
![]() |
Ácido benzoico, derivado del ácido cinámico | Salicina
|
Gastrodina,
|
Arbutina, un glucósido del la dihidroquinona | Ácido protocatéquico, derivado de degradación del ácido cafeico | Catecol, derivado de otros fenoles | Vainillina, benzaldehído fenólico, derivado del ácido ferúlico |
Existen casos en donde hay una segunda condensación tipo aciloínica con tiamina para formar nuevos arilpropanoides con distinto patrón de grupos funcionales denominados efedrinas:

Cumarinas


- Las coumarinas se forman por ciclización interna de un arilpropanoide, por ejemplo el ácido p-cumárico. La formación de un anillo de furano fusionado por prenilación y escisión oxidativa es muy común en estos sistemas, como la angelicina y el psoraleno.

La novobiocina, también conocida como albamicina o catomicina, es un antibiótico tipo aminocumarina producido por la bacteria Streptomyces niveus ,que recientemente ha sido identificado como un sinónimo subjetivo de S. spheroides, un miembro de la orden de las actinobacterias o actinomycetes. Otros antibióticos de la clase de las aminocumarinas son la clorobiocina y la cumermicina A1.

Feniletanos
Se ha encontrado que los seres vivos pueden catabolizar la tirosina, la fenilalanina y los fenilpropanoides a esqueletos aromáticos con una cadena lateral de dos carbonos. La L-fenilalanina puede degradarse por descarboxilación (con catálisis de la Descarboxilasa de los aminoácidos aromáticos, EC 4.1.1.28) para producir feniletilamina, o por transaminación para dar el ácido fenilpirúvico.
La fenetilamina puede transaminarse para dar el fenilacetaldehído. Este compuesto se oxida a ácido fenilacético por acción de una aldehído deshidrogenasa (EC 1.2.1.5). Posteriormente una monooxigenasa hidroxila el anillo aromático en posición meta. Una vez más, se puede hidroxilar por la acción otra monooxigenasa en la posición 4. El producto intermediario es el ácido homoprotocatecuico. El ácido fenilacético se puede esterificar con la Coenzima A.
Por otro lado, el ácido fenilpirúvico sufre una descarboxilación oxidativa para formar fenilacetaldehído, el cual se puede incorporar a la ruta anteriormente descrita.
De modo análogo, la tirosina puede descarboxilarse o transaminarse, como se indicó en el inciso anterior. El producto de transaminación (Ácido p-hidroxifenilpirúvico) puede ser epoxidado en la posición 1,2 con transposición para dar el ácido homogentísico. Si el producto de transaminación se descarboxila con oxidación, se forma el 4-hidroxifenilacetaldehído. El producto de descarboxilación de la tirosina (la tiramina) al transaminarse forma también el 4-hidroxifenilacetaldehído. Este compuesto se oxida a su correspondiente ácido carboxílico, el cual se puede oxigenar por acción de la 4-hidroxifenilacetato 1-monooxigenasa (EC 1.14.13.18). El producto por acción de esta enzima produce también ácido homogentísico. Otra ruta que puede tomar el ácido 4-hidroxifenilacético es oxigenarse por acción de otra enzima, la 4-hidroxifenilacetato-3-monooxigenasa de cadena larga (EC 1.14.14.9). El producto de esta reacción es el ácido homoprotocatecuico.
La degradación de los aminoácidos tirosina y fenilalanina puede producir, dependiendo el organismo, 3 compuestos intermediarios:
- Ácido homogentísico
- Ácido homoprotocatecuico
- Fenilacetil Coenzima A
Cada uno de estos intermediarios tiene distintas formas de catabolizarse, lo cual deja ver la gran diversidad metabólica que existe en los seres vivos para el aprovechamiento energético de varios compuestos aromáticos.

- Los aminoácidos aromáticos pueden formar glucósidos cianogénicos y glucosinolatos. Ambos siguen las mismas rutas generales para ambos tipos de compuestos, en donde la formación de la aldoxima es el metabolito intermediario que puede formar el glucósido cianogénico o el glucosinolato, dependiendo de la especie. A continuación se ilustra como ejemplo la biosíntesis de los derivados de la tirosina, durrina y sinalbina. La mirosinasa hidroliza de manera general a todos los glucosinolatos cuando la planta presenta un daño físico.[17]



Rutas de la DOPA
La 3,4-dihidroxifenilalanina (DOPA) es un precursor relevante en el metabolismo de la tirosina y la fenilalanina. Se produce por la hidroxilación de la tirosina y produce varios metabolitos secundarios tales como las melaninas,[19] las catecolaminas,[20] las betalaínas,[21] las higroaurinas,[22] los alcaloides tetrahidroisoquinolínicos[23] y otros alcaloides.


La adrenalina es una hormona que es sintetizada en la médula de la glándula suprarrenal en una ruta enzimática que convierte el aminoácido tirosina en una serie de intermediarios y, finalmente, en adrenalina. La tirosina es primero oxidada para obtener levodopa, que posteriormente se descarboxila para dar dopamina. La oxidación de esta molécula proporciona norepinefrina que luego es metilada para dar epinefrina. También que es sintetizada al metilarse la amina distal primaria de la norepinefrina por la acción de la enzima feniletanolamina N-metiltransferasa (PNMT) en el citosol de las neuronas adrenérgicas y células de la médula adrenal (llamadas células cromafínicas). La PNMT solo se encuentra en el citosol de las células de la médula suprarrenal. La PNMT usa la S-adenosilmetionina como cofactor para donar el grupo metilo a la norepinefrina, formando así la adrenalina.

Cicloheptanos
La función estabilizadora de membrana de los ácidos grasos ω-ciclohexílicos de varias especies de Alicyclobacillus se reemplaza de manera única en una especie, A. cycloheptanicus, por los ácidos grasos homólogos, los ácidos grasos ω-cicloheptílicos. El espectro de ácidos grasos encontrados es similar a aquel de los ácidos grasos de ciclohexilo en las otras especies de Alicyclobacillus, excepto por la presencia de un cicloheptano en lugar del ciclohexano. Esto plantea la intrigante cuestión de si la equivalencia funcional de los dos tipos de compuestos es el resultado de una biosíntesis divergente o convergente. Cane y colaboradores reportaron la biosíntesis de tiotropocina, un metabolito de una especie de Pseudomonas que contiene un esqueleto de carbono idéntico al del ácido cicloheptanocarboxílico. Cane y colaboradores conclyeron con estudios de marcaje isotópico que el esqueleto cicloheptánico de la roseobacticida, las tropolonas bacterianas y los ácidos ω-cicloheptílicos surgen de la expansión del anillo de un éster de ácido fenilacético derivado de la fenilalanina.[24]

Derivados complejos de fenilpropanoides y arilalaninas
Heterociclos formados por ensamblaje
- Los anhidropéptidos de la fenilalanina forman estructuras tipo 2,5-pirazinodiona. Estos metabolitos se encuentran ampliamente distribuidos en hongos. Los anhidropéptidos pueden ser diarílicos (se forman por condensación peptídica de dos arilalaninas) o mixtos (se forman a partir de una arilalanina y otro aminoácido). Por ejemplo, la gliotoxina se forma a partir de la fenilalanina y la serina:

En muchos casos se lleva a cabo una segunda ciclización, en la que se forma un compuesto policíclico. La aranotina presenta adicionalmente una electrociclización reversa a partir del epóxido de areno correspondiente para forma r un sistema de oxepina.

- Otros sistemas de ensamblaje heterocíclico de arilalaninas son las luciferinas de celenterados:
![]() |
![]() |
![]() |
![]() |
Coelenteramina | Coelenteramida | Coelenterazina | La medusa Aequorea victoria produce coelenteramida como producto de la bioluminiscencia.]] |

- Diversos aminoácidos modificados son constituyentes de péptidos ribosomales y dépsidos, tales como la vancomicina, la tirocidina y la bauvericina:
![]() |
![]() |
![]() |
Vancomicina | Tirocidina A | Beauvericina |

- Los fenoles simples producto de la degradación de arilalaninas también pueden ensamblarse sin formación de esqueletos de carbono nuevos por condensación intramolecular, formando sistemas heterociclos con dos heteroátomos. Por ejemplo, la luciferina de Lampyris noctiluca se forma por este mecanismo:

Lignanos
- Los lignanos son metabolitos secundarios de las plantas encontrados en una gran variedad de plantas que incluyen las semillas de lino, semillas de calabaza, semillas de sésamo, centeno, soja, brócoli, frijoles, y en algunas bayas. Aunque están ampliamente distribuidos en las citadas semillas, así como la corteza de diversos árboles.[25]

Químicamente son sustancias polifenólicas, relacionadas con el metabolismo de la fenilalanina a través de la dimerización de alcoholes cinámicos (principalmente el alcohol coniferílico) sustituidos (ver Ácido cinámico) a un esqueleto de dibencilbutano 2. Esta reacción es catalizada por enzimas oxidativas y normalmente es controlada por proteínas de dirección. La estructura básica de estas sustancias son dos unidades C
6C
3 unidas por enlaces β,β' utilizadas para la nomenclatura de los lignanos.[26]

La biosíntesis de lignanos más estudiada es la ruta de la podofilotoxina:

La polimerización no selectiva de los derivados del alcohol coniferílico forma la lignina, un biomaterial de aspecto pétreo. Las ligninas son particularmente importantes en la formación de las paredes celulares, especialmente en la madera y la corteza, ya que prestan rigidez y no se pudren fácilmente.

Por otro lado, existen microorganismos que producen enzimas modificadoras de la lignina (LMEs) que catalizan la descomposición de la lignina. No son hidrolasas, sino peroxidasas, como la lignina peroxidasa (EC 1.11.1.14), la manganeso peroxidasa (EC 1.11.1.13), la peroxidasa genérica (EC 1.11.1.16) y muchas fenoloxidasas del tipo lacasas. Los organismos más estudiados que producen estas enzimas son los hongos Phanerochaete chrysosporium, Ceriporiopsis subvermispora, Trametes versicolor, Phlebia radiata, Pleurotus ostreatus y Pleurotus eryngii.[27] Los organismos productores de estas enzimas son cruciales para los ciclos ecológicos (por ejemplo, crecimiento / muerte / descomposición / rebrote, ciclo del carbono y restauración del suelo) porque permiten que el tejido vegetal se descomponga rápidamente, liberando la materia orgánica para su reutilización en las nuevas generaciones de vida.

Arilpropanoides incorporados a rutas del malonato
Las unidades de hidroxicinamoil-CoA, hidroxiarilacetil-CoA o hidroxibenzoil-CoA pueden incorporarse como unidades de iniciación en ácido graso sintasas (FAS) o policétido sintasas (PKS). Se forman ácidos ω-arilcarboxílicos grasos, n-alquilfenoles o arilpolicétidos, los cuales ciclizan para formar un segundo anillo fenólico pero con un patrón alternado de hidroxilación, distinto al de la ruta de los fenilpropanoides. Así se forman las xantonas, los dibenzofuranoides, los estilbenos y las chalconas. Estos compuestos, adicionalmente pueden acoplarse, metilarse, glicosilarse, o prenilarse en los anillos, dando así todavía una mayor diversidad en estos compuestos. Un ejemplo de estilbeno policíclico de hepáticas es la cavicularina.
![]() |
![]() |
![]() |
![]() |
![]() |
![]() |
Mangiferina, xantona C-glicosilada. | Mangostina, xantona prenilada | Resveratrol, estilbeno representativo | α-Viniferina, estilbeno trimérico | Cardamomina, una chalcona. | Aspalatina,una chalcona C-glucosilada |

A su vez, las chalconas forman uno de los grupos fitoquímicos más extendidos y representativos en las plantas angiospermas: los flavonoides. Estos compuestos, adicionalmente pueden acoplarse, metilarse, glicosilarse, o prenilarse en los anillos, dando así todavía una mayor diversidad en estos compuestos. Las 'auronas producen un cierre furanoide (en lugar del piranoide de los flavonoides) y se encuentran restringidas taxonómicamente.

.jpg.webp)


Los isoflavonoides se forman por migración radicalaria del fenilo de la posición 2 a la 3.
![]() |
![]() |
![]() |
![]() |
![]() |
![]() |
![]() |
Leptosidina, una aurona | Luteolina, una flavona | Kaempferol, un flavonol | Naringenina, una flavanona | Cianidina, una antocianina | Genisteína, un isoflavanoide | Vochicina, un alcaloide pirrolidilflavonoide |
Las catequinas son flavonoides reducidos en el anillo piranoide que polimerizan por radicales libres entre los anillos aromáticos fenólicos y los piranoides de la otra unidad, entre dos y quince unidades. A estos compuestos se les denomina taninos condensados.


Los taninos condensados son los pigmentos principales de muchas semillas, y también están presentes en los tejidos vegetativos de algunas plantas forrajeras. Como todos los taninos, aparentemente en las plantas cumplen funciones de defensa ante el herbivorismo. Son de importancia económica para el ganado porque reducen la hinchazón en los animales rumiantes, pero al mismo tiempo tienen potencial de producir rechazo al alimento ("antialimentarios") y de disminuir la absorción de los nutrientes por el organismo ("antinutrientes").[28][29]
- Los diarilheptanos se forman por una homologación de hidroxicinamoil-CoA por condensación descarboxilativa con una unidad de malonilo y una segunda condensación con otra unidad de hidroxicianoil-CoA. A continuación se muestra la biosíntesis de la curcumina:



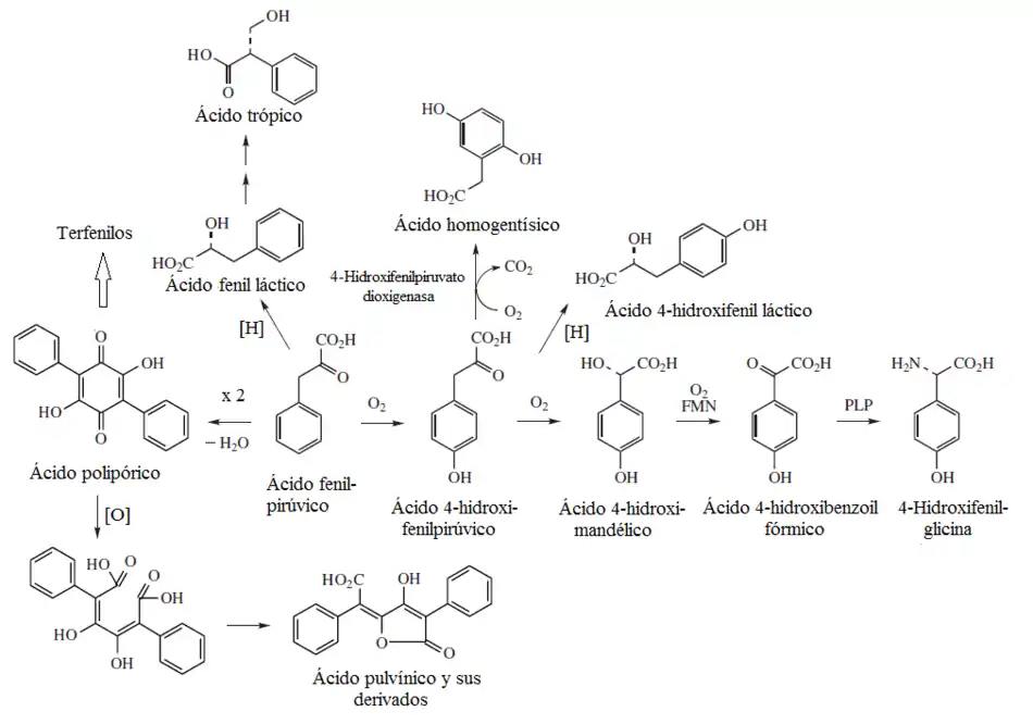
Rutas de los arilpiruvatos
Los productos de transaminación de aminoácidos aromáticos son el ácido fenilpirúvico y el ácido p-hidroxifenilpirúvico, los cuales pueden ser interconvertibles en algunos organismos via prefenato. El ácido fenilpirúvico puede reducirse para formar ácido 3-fenil láctico, el cual puede transformarse por transposición en ácido trópico, componente de la hiosciamina. El ácido fenilpirúvico puede dimerizarse por medio de una condensación aldólica doble para formar ácido polipórico, el cual es precursor de varios terfenilos, por ejemplo atromentina, volucrisporina, leucomelona, muscafurina, ácido telefórico y xileritrina.

.jpg.webp)



El ácido polipórico puede escindirse oxidativamente para formar ácido pulvínico y sus derivados. El ácido 4-hidroxifenilpirúvico es precursor de la 4-hidroxifenilglicina, aminoácido componente de péptidos no ribosomales, como en el caso de la vancomicina.
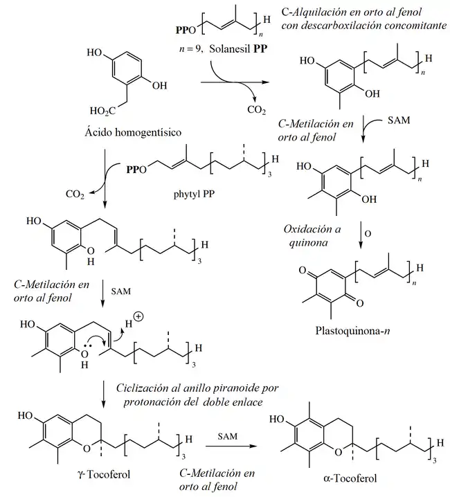
El ácido homogentísico es un catabolito de la tirosina precursor de los tocoferoles, ubiquinonas y ácido hiposudórico:


Melaninas

La melanina es un pigmento que se produce en los animales. La forma más común de melanina es la eumelanina, un polímero negro-marrón de ácidos carboxílicos de dihidroxindol y sus formas reducidas. El proceso de formación de la melanina (melanogénesis), es estimulada por el daño en el ADN inducido por la radiación ultravioleta. La eumelanina y la feomelanina se producen en el estrato más profundo de la epidermis (estrato basal) y en las células de la matriz del folículo pilosebáceo. [30]

Betalaínas
- Betalaínas.La base de estos pigmentos alcaloides es el ácido betalámico, el cual se forma por la escisión oxidativa de la DOPA. Cuando el ácido betalámico forma iminas con el nitrógeno de los aminoácidos, se forman las betalaínas. Se clasifican en dos tipos: las betacianinas, que son sales de iminio de la cicloDOPA, y las betaxantinas, que son iminas con aminoácidos o aminas biógenas. Estos metabolitos secundarios de las plantas nitrogenados actúan como pigmentos rojos y amarillos. Están presentes solamente en el taxón Caryophyllales excepto Caryophyllaceae y Molluginaceae (Clement et al. 1994[31]). En contraste, la mayoría de las demás plantas poseen pigmentos que son antocianinas (que pertenecen al grupo de los flavonoides). Las betalaínas y las antocianinas son mutuamente excluyentes, por lo que cuando se encuentran betalaínas en una planta, estarán ausentes las antocianinas, y viceversa. Algunos hongos también presentan estos compuestos, llamados muscaaurinas. Cuando en lugar de formar un heterociclo de seis miembros (como el caso del ácido betalámico) se forma uno de siete, se denomina muscaflavina, y las iminas se denominan higroaurinas.[32]

Las betaxantinas son betalainas que consisten en bases de Schiff del ácido betalámico con un aminoácido, mientras de que en las betaninas contienen un catión iminio con cicloDOPA.
![]() |
![]() |
![]() |
![]() |
Biosíntesis de betalaínas a partir de ácido betalámico (1).
|
Betanina | Indicaxantina | Beta vulgaris, o betabel.
|
Alcaloides de amarilidáceas

.jpg.webp)

Muchos taxones de Amarilidáceas son conocidos por su extremada toxicidad. La familia Amaryllidaceae produce un grupo de alcaloides cuyo precursor es la norbeladina, una amina formada por la reducción de la base de Schiff formada entre el aldehído protocatecuico y la tiramina. La norbeladina puede acoplar por radicales libres los dos anillos aromáticos que presenta. Así, pueden formarse distintas estructuras de acuerdo al patrón de acoplamiento de los anillos.[33] Ejemplos: Norbeladina, criptostilina I, cherilina, y nivalidina, galantamina, hemantidina, tazetina, y pancracina. Montanina. Licorina, Licorenina. Narciclasina. Principalmente se tienen los esqueletos tipo Licorina, Crinina y Galantamina.

Alcaloides isoquinolínicos
Los alcaloides isoquinolínicos y tetrahidroisoquinolínicos (THIQ) comprenden una diversa gama de compuestos ampliamente distribuidos principalmente en el reino vegetal. Cabe destacar que estas isoquinolinas tienen un sustituyente alquilo en la posición 1. Cualquier otro patrón de sustitución hace pensar en otra ruta biosintética. Biogenéticamente se pueden formar por una Reacción de Pictet-Spengler de una catecolamina con un aldehído o un ácido α-cetocarboxílico:
![]() |
![]() |
![]() |
![]() |
![]() |
1,2,3,4-Tetrahidroisoquinolina | Biosíntesis de THIQ.
|
Peyote (Lophophora williamsii)
|
Cápsula de amapola (Papaver somniferum)
|
Las plantas del género Berberis producen alcaloides tipo berberina. |
De acuerdo al aldehído utilizado, se pueden reconocer 4 grandes familias de este tipo de alcaloides:
- a) Las isoquinolinas simples, las cuales se forman por condensación de una catecolamina con acetaldehído, glioxal, piruvato, formaldehído, etc.
- b) La bencilisoquinolinas, que comprenden el grupo más amplio de todos se forman por condensación de una catecolamina con un fenilacetaldehído.
- c) Las fenetilisoquinolinas, que se forman por condensación de una catecolamina con un fenilpropanal.
- d) Los alcaloides tipo ipecósido, en donde el aldehído es un iridoide.
![]() |
![]() |
![]() |
![]() |
![]() |
![]() |
Gigantina, alcaloide THIQ simple | Papaverina, alcaloide quinolínico bencílico | Nuciferina, alcaloide tipo aporfina | Berberina, alcaloide tipo berberina | Morfina, alcaloide tipo morfinano | Harringtonina, alcaloide derivado de fenetilTHIQ |

Los alcaloides fenetilisoquinolínicos se forman en diversas monocotiledóneas. El derivado más conocido por sus propiedades farmacológicas contra la gota es la colchicina, una benzooctalenamina N acetilada aislada de Colchicum autumnale:


La emetina es un alcaloide de la ipecacuana que se forma por la ciclización tipo Pictet-Spengler con el secoiridoide denominado secologanina:

La aaptamina es un caso de un alcaloide isoquinolínico aislado de esponjas y que presenta un tercer anillo fusionado. De acuerdo a la hipótesis de Claridge, el esqueleto de la aaptamina se puede derivar de la S-3(3,4-dihidroxifenil)alanina(L-DOPA) y un equivalente biosintético del aldehído de la β-alanina, con los cuales se lleva a cabo la reacción de Mannich (en una reacción tipo Pictet-Spengler) para formar el equivalente de tetrahidroisoquinolina y con heterociclización sobre el anillo de benceno de la quinolina. Posteriormente se lleva a cabo una descarboxilación y deshidrogenación para producir la 8,9-bisdesmetilaaptamina. Este compuesto, por metilaciones posteriores produce la aaptamina.[34]

Salinosporamidas
La salinosporamida A (Marizomib) es un potente inhibidor del proteasoma que se estudia como posible agente anticanceroso. Ingresó en la fase I de ensayos clínicos en humanos para el tratamiento del mieloma múltiple, solo tres años después de su descubrimiento en 2003. [35][36] Este producto marino natural es producido por las bacterias marinas obligadas Salinispora tropica y Salinispora arenicola, que se encuentran en los sedimentos oceánicos. La salinosporamida A pertenece a una familia de compuestos, conocidos colectivamente como salinosporamidas, que poseen un núcleo bicíclico de γ-lactama-β-lactona densamente funcionalizado.

Rutas mixtas con precursores piperidínicos


Las plantas del género Securinega producen alcaloides con el esqueleto base (6S,11bS)-6,11b-metano-3a,6,11a,11b-tetrahidrofuro[2,3-c]pirido[1,2-a]azepina. Este pequeño grupo de 30 alcaloides parece provenir biosintéticamente de la tirosina y la lisina, como el caso de la securinina, un alcaloide aislado a partir de las hojas, raíces y tallos Securinega suffruticosa y Phyllanthus discoides(Euphorbiaceae).


Otros ejemplos son las securiniaminas, sufruticodina y los securinoles A-D. La filantidina tiene la estructura metanofuro[2,3-d]pirido[1,2-b][1,2]oxazocina.

- - La lobelanina, la lobelina y la sedamina se forman por la incorporación de derivados fenilpropanoides a una piperideína proveniente de la ruta de la lisina.

- Alcaloides de litráceas: Estos alcaloides ciclofánicos se componen de un ciclo quinazolínico o piperidínico proveniente de la lisina, los cuales se esterifican con ácidos aromáticos fenilpropanoides o forman éteres entre anillos aromáticos.[38]

Rutas del ácido antranílico
Acridinas y quinolinas
El ácido antranílico es precursor de varios metabolitos secundarios por condensación o conjugación con moléculas provenientes de otras rutas.
- Cuando el ácido antranílico se esterifica con una molécula de coenzima A, puede participar como unidad de iniciación en la formación de un policétido mixto con 2 unidades. Mediante los mismos mecanismos de los policétidos se pueden formar sistemas aromáticos policíclicos fusionados, tales como los alcaloides quinolónicoss. La prenilación con pirofosfato de dimetilalilo (DMAPP) puede generar alcaloides con esqueleto de furo[2,3-b]quinolina. La N-metilantraniloil-Coenzima A puede formar un tricétido, el cual es precursor de los alcaloides acridínicos, tales como la rutacridona, la acronicina y la melicopicina.
- La antraniloil coenzima A puede condensarse en una reacción tipo Mannich con el catión pirrolinio (derivado de la ornitina) para producir alcaloides del tipo 1,2,3,9-tetrahidropirrolo[2,1-b]quinazolina, por ejemplo la peganina. Se ha homologado esta ruta con otras quinazolinas, tales como la febrifuguina.


La divulgación de las propiedades antimicrobianas de la murrayanina (3-formil-1-metoxicarbazol), aislado de la planta Murraya koenigii despertó un fuerte interés de los químicos y biólogos.[39] Los alcaloides carbazólicos de plantas tienen como precursor al 3-metilcarbazol, el cual procede de la prenilación de la 4-hidroxiquinolona.

Estos alcaloides son indicadores quimiotaxonómicos de plantas pertenecientes a la familia Rutaceae (géneros: Murraya, Clausena, Glycosmis) [40][41][42][43][44][45][46][47][48]
Indol y triptófano
Biosíntesis del triptófano
El triptófano se biosintetiza en tres etapas fundamentales: Unión entre el ácido antranílico y un éster fosfórico de ribosa con ciclización descarboxilativa, la eliminación de una molécula de gliceraldehído 3-fosfato, y la condensación con una molécula de serina. Durante la biosíntesis del triptófano, participan 4 enzimas:
- Antranilato fosforibosil transferasa: Se lleva a cabo una SN2 del grupo amino del ácido antranílico.
- Fosforibosil antralinato isomerasa: Se isomeriza la ribofuranosa a ribosa lineal.
- Indolil 3-glicerol fosfato sintasa (I3GPS): Se efectúa una descarboxilación con condesación tipo aldólica. En este paso se forma el anillo de indol con el sustituyente glicerilo en posición 3.
- Triptófano sintasa: Se lleva a cabo una eliminación por condensación aldólica inversa. Se forma un anillo de indol no sustituido y unido a la enzima. Posteriormente se realiza la condensación con serina por una reacción tipo SEA. Se forma el triptófano.

Durante la biosíntesis del triptófano, existen unos cuantos metabolitos que proceden de intermediarios del triptófano y no de éste directamente. Por ejemplo, El DIMBOA (2,4-dihidroxi-7-metoxi-1,4-benzoxazin-3-ona) es un ácido hidroxámico heterocíclico con esqueleto tipo benzoxazinoide que se forma por oxidación tipo Baeyer-Villiger del intermediario en la biosíntesis del triptófano, el indol-3-glicerol-fosfato. El DIMBOA es una fitoalexina presente en el maíz y otras poáceas particularmente el trigo. En el maíz, el DIMBOA funciona como defensa natural contra insectos herbívoros como el lepidóptero taladro del maíz (Ostrinia nubilalis) y muchas otras plagas nocivas, incluyendo hongos y bacterias. El nivel exacto de DIMBOA varía entre plantas individuales, pero las concentraciones más altas son típicamente encontradas en plantas germinales y la concentración disminuye conforme a la edad de la planta:

El triptófano puede presentar reacciones adicionales que no alteran el esqueleto pero sí modifican el patrón de grupos funcionales. Las más comunes son:
- Reacciones en la amina, como la N-metilación, la desaminación y transaminación.
- Reacciones en el anillo bencénico. La más común es la hidroxilación, aunque también se han reportado triptófanos clorados, yodados y nitrados. La 5-Hidroxilación: produce el intermediario 5-hidroxitriptófano.
- Fosforilación del carboxilo, el cual activa al triptófano para incorporarse a rutas de péptidos no ribosomales o proteínas.
La transformaciones estructurales más representativas (mas no las únicas) del triptófano y sus derivados son:
- Endociclización de la amina con el indol: Se forman alcaloides pirroloindolicos, tales como la fisostigmina.
- Formación de anhidropéptidos dicetopipierazidínicos: Como la taxtomina (nitrotriptófano con tirosina), roquefortina (Triptófano con histidina) y el verruculógeno (triptófano con prolina).
- Reacción de Pictet-Spengler: La amina del triptófano o una triptamina forma primero una imina con un carbonilo. La base de Schiff formada reacciona con el anillo aromático en una reacción tipo Mannich para dar una heterociclización que forma alcaloides β-carbolínicos. Los compuestos carbonílicos más comunes son el ácido pirúvico, el cual forma 1-metil β-carbolinas (como la harmina) o la secologanina de los alcaloides indoloiridoides(V. más adelante).
- 3-Dimerización: El triptófano puede dimerizar en la posición 3 del propanoide por medio de una reacción radicalaria de manera análoga a los lignanos. En estas rutas se forman la violaceína y la estaurosporina.
- Prenilación: La SEA de una unidad de pirofosfato de dimetilalilo forma el intermediario L-4-Dimetilalil triptófano. Este es el precursor de los alcaloides del ergot. Existen indoles prenilados con cadenas de más de una unidad isoprenoide, tales como los alcaloides tipo lolitrem.
- Incorporación a rutas policétidas: No son tan comunes y diversas como las rutas de ácidos grasos ω-arílicos, los flavonoides o las citocalasinas, pero existen algunos ejemplos representativos, como las quetoglobosinas.
- Los ascorbígenos son productos de condensación del triptófano con el ácido ascórbico.[50]
- Escisión oxidativa: Por una ruptura oxidativa del anillo heterocíclico del indol, se forma la quinurenina, un intermediario catabólico que puede formar ácido 3-hidroxiantranílico, el cual puede formar isofenoxazinas y ácido nicotínico. Otro producto posible es el ácido 5-(2'carboxietil)-4,6-dihidroxipicolínico.
- Existen diversos alcaloides a los que no se han realizado estudios biogenéticos pero que por su estructura se sugiere que provienen de una ruta del triptófano o antranilato, como la criptolepina.
Etilindoles
El esqueleto propanoide lateral al sistema indólico puede presentar degradaciones de acuerdo a los siguientes patrones bioquímicos:
- Biosíntesis de glucosinolatos: Se pierde un carbono por descarboxilación al formar el glucosinolato correspondiente, por ejemplo, la glucobrasicina. En el caso del triptófano, existen otras moléculas modificadas a partir de los precursores, como la camalexina y la brassilexina.

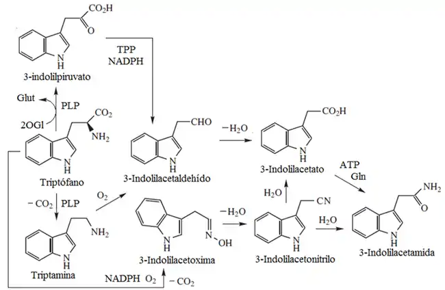
- Descarboxilación del indolpiruvato: Procede por un mecanismo idéntico al de la piruvato descarboxilasa, ya que el producto de la transaminación es un 2-oxoácido (3-indolilpiruvato). Se forma el ácido indolacético correspondiente. Las modificaciones de grupo funcional de estos compuestos en plantas conllevan a la formación de las fitohormonas auxinoides.

- Descarboxilación directa: El producto de descarboxilación directa del triptófano es la triptamina, mientras que el 5-hidroxitriptófano es precursor de aminas biológicamente activas, tales como la serotonina y la melatonina.

- La triptamina puede alquilarse o hidroxilarse en el nitrógeno amínico, formando así los alcaloides indoliletil amínicos o triptaminas o partir de un triptófano previamente hidroxilado. Un ejemplo clásico es la psilocibina aislada de los hongos alucinógenos Psilocybe.


Indoles simples y bisindoles
- Eliminación de piruvato: A partir de la triptofanasa, el triptófano elimina piruvato para producir indol libre. Este indol se puede hidroxilar para formar indoxilo. Este intermediario puede formar el glucósido indicano, isatinas (Via N-acetil isatina) o sus derivados de condensación, como los pigmentos bisindólicos (como el colorante índigo o la púrpura de Tiro).
Anhidropéptidos triptofánicos
Los hongos pueden formar anhidropéptidos dicetopiperazidínicos con en triptófano y otro aminoácido. Por ejemplo, en el caso del verruculógeno, una micotoxina producida por ciertas cepas de Aspergillus.[51] Es un análogo anulado de ciclo (L-Trp-L-Pro) que pertenece a la clase más abundante y estructuralmente diversa de productos naturales de triptófano-prolina 2,5-dicetopiperazina. Produce temblores en ratones debido a sus propiedades neurotóxicas.[52]

Alcaloides β-carbolínicos
Cuando procede la Reacción de Pictet-Spengler con la triptamina, se forman alcaloides β-carbolínicos. Los compuestos carbonílicos condensados con triptamina más comunes son el ácido pirúvico, el cual forma 1-metil β-carbolinas (como la harmina) o aldehídos como la secologanina.
- Los alcaloides indoloiridoides es una familia de alcaloides derivados de la β-carbolina llamada estrictosidina, la cual se forma por reacción de Pictet-Spengler entre la triptamina y la secologanina:

La estrictosidina es la precursora de distintos alcaloides con modificaciones estructurales y formación de intrincados compuestos policíclicos característicos de plantas del orden Gentianales. Se pueden distinguir diversas rutas como la del corinanteal, de la cual surge la quinina; la deshidrogeisosquizina, de la cual se diversifica a la prekuamicina y la catenamina, de donde provienen los yohimbinoides y la ajmalicina.



Un derivado de la prekuamicina, la estemadenina, puede formar distintos alcaloides tales como la elipticina:


- Cuando la prekuamicina sufre ruptura de anillos con condensación de una unidad adicional de acetato, se forman los alcaloides estricnoides:



La prekuamicina también es precursora de los sistemas tipo andranginina:

La secodina sufre ciclizaciones posteriores para formar los alcaloides tipo Cataranthus. Un metabolito particularmente estudiado de esta ruta es la vinblastina:
.JPG.webp)

Las manzaminas son alcaloides β-carbolínicos producidos por una reacción tipo Mannich entre el triptófano y los ircinales A o B con posterior oxidación[53]


Alcaloides pirroloindólicos
La ciclización intramolecular del nitrógeno de la triptamina a la posición 2 del indol por metilación de la posición 3 forma los alcaloides pirroloindólicos, tales como la fisostigmina:


Alcaloides del ergot
Los alcaloides del cornezuelo de centeno pueden considerarse derivados del compuesto tetracíclico 6-metilergolina. Los alcaloides naturales contienen un sustituyente en la configuración beta en la posición 8 y una unión doble en el anillo D. Los alcaloides de interés terapéutico son derivados amídicos del Ácido lisérgico; estos compuestos tienen una doble unión entre el carbono 9 y el carbono 10, y por esa razón pertenecen a la familia de los compuestos 9-ergoleno. Muchos alcaloides que contienen un grupo metilo o hidroximetilo en laposición 8 están presentes en el cornezuelo en cantidades mínimas. Se les denomina alcaloides de clavina y consisten primordialmente en 9-ergolenos (lisergol) y 8-ergolenos (elimoclavina, el isómero 8-ergoleno del lisergol).[54][55] El triptófano puede ser prenilado en el anillo aromático por una reacción enzimática tipo Friedel-Crafts.

Este triptófano prenilado puede oxidarse para formar un anillo de seis miembros adicional fusionado, como en la chanoclavina I.La chanoclavina da una heterociclización para formar un anillo adicional de piperidina fusionada al de la chanoclavina, por ejemplo, la agroclavina. La oxidación del metilo terminal de la agroclavina forma el ácido lisérgico, uno de los alcaloides del ergot más conocidos:

El ácido lisérgico puede incorporarse a una polipéptido sintasa no ribosomal para formar alcaloides más complejos, como la β-ergocriptina.
Los alcaloides del cornezuelo de centeno son el primer grupo de fármacos de bloqueo adrenérgico que se descubrieron y su farmacología general se describió en estudios clásicos. Estos alcaloides del cornezuelo manifiestan una variedad compleja de propiedades farmacológicas. En grados variables, los agentes mencionados actúan como agonistas o antagonistas parciales a nivel de receptores α, receptores dopamínicos y de serotonina.[54]
Quetoglobosinas
_perithecium_40X.png.webp)
El triptófano puede incorporarse también a sistemas tipo policétido sintasa, como en el caso de las quetoglobosinas:

Alcaloides indolocarbazólicos
La dimerización del triptófano, analógica a la biosíntesis de los lignanos en fenilpropanoides, produce a diferencia de los furolignanos, sistemas tipo diindolilpirroles, en donde el ácido cromopirrólico es el principal intermediario. La formación de un anillo aromático adicional produce un sistema indolopirrolocarbazólico. Los alcaloides más representativos son la rebecamicina y la estaurosporina. La principal actividad biológica de la estaurosporina es la inhibición de las proteínas quinasas a través de la inhibición de la unión del ATP a la quinasa. Esto se logra mediante la mayor afinidad de la estaurosporina por el sitio de unión a ATP en la quinasa. La estaurosporina es un inhibidor prototípico de la quinasa ATP competitiva ya que se une a muchas quinasas con alta afinidad, aunque con poca selectividad.[56]

Kimmel y colaboradores elucidaron la biosíntesis de la violaceína.[57] Este compuesto proviene de dos unidades derivadas del triptófano, las iminas del triptófano y del 5-hidroxitriptófano. Posteriormente se condensan estas moléculas y se forma un anillo de pirrol correspondiente al ácido protoviolaceínico. Éste se descarboxila por oxidación para formar la violaceína.[58][59]

Ruta de la quinurenina


El ácido quinurénico es un alcaloide quinolínico que se forma a partir de un catabolito del triptófano, la quinurenina. Cuando este aminoácido se transamina por la acción de la quinurenina—oxoglutarato transaminasa (EC 2.6.1.7), el grupo ceto forma una imina con el nitrógeno residual del anillo de indol del triptófano precursor. Cuando la cetona tautomeriza a enol, se finaliza así la formación del anillo de quinolina.[60]
La orellanina es un metabolito secundario de la ruta del ácido shikímico, como derivado del ácido antranílico, ruta del catabolismo del triptófano, vía quinurenina. De la degradación de la quinurenina se obtiene el ácido 3-hidroxiantranílico[61]


- El acoplamiento de los hidroxiantranilatos derivados de la quinurenina forman los alcaloides fenoxazínicos de origen fúngico: Cinabarina, ácido cinabarínico, tramesanguina, polistictina, fenoxazona, α-aminofenoxazona. Son típicos del hongo Pycnoporus.
_P._Karst_153.jpg.webp)

Catabolismo de los derivados del ácido shikímico[49]
Degradación de fenilalanina y tirosina
Se ha encontrado que los seres vivos pueden catabolizar la tirosina, la fenilalanina y los fenilpropanoides. La L-fenilalanina puede degradarse por descarboxilación (con catálisis de la Descarboxilasa de los aminoácidos aromáticos, EC 4.1.1.28) para producir feniletilamina, o por transaminación para dar el ácido fenilpirúvico.
La fenetilamina puede transaminarse para dar el fenilacetaldehído. Este compuesto se oxida a ácido fenilacético por acción de una aldehído deshidrogenasa (EC 1.2.1.5). Posteriormente una monooxigenasa hidroxila el anillo aromático en posición meta. Una vez más, se puede hidroxilar por la acción otra monooxigenasa en la posición 4. El producto intermediario es el ácido homoprotocatecuico. El ácido fenilacético se puede esterificar con la Coenzima A.
Por otro lado, el ácido fenilpirúvico sufre una descarboxilación oxidativa para formar fenilacetaldehído, el cual se puede incorporar a la ruta anteriormente descrita.
De modo análogo, la tirosina puede descarboxilarse o transaminarse, como se indicó en el inciso anterior. El producto de transaminación (Ácido p-hidroxifenilpirúvico) puede ser epoxidado en la posición 1,2 con transposición para dar el ácido homogentísico. Si el producto de transaminación se descarboxila con oxidación, se forma el 4-hidroxifenilacetaldehído. El producto de descarboxilación de la tirosina (la tiramina) al transaminarse forma también el 4-hidroxifenilacetaldehído. Este compuesto se oxida a su correspondiente ácido carboxílico, el cual se puede oxigenar por acción de la 4-hidroxifenilacetato 1-monooxigenasa (EC 1.14.13.18). El producto por acción de esta enzima produce también ácido homogentísico. Otra ruta que puede tomar el ácido 4-hidroxifenilacético es oxigenarse por acción de otra enzima, la 4-hidroxifenilacetato-3-monooxigenasa de cadena larga (EC 1.14.14.9). El producto de esta reacción es el ácido homoprotocatecuico.
La degradación de los aminoácidos tirosina y fenilalanina puede producir, dependiendo el organismo, 3 compuestos intermediarios:
- Ácido homogentísico
- Ácido homoprotocatecuico
- Fenilacetil Coenzima A
Cada uno de estos intermediarios tiene distintas formas de catabolizarse, lo cual deja ver la gran diversidad metabólica que existe en los seres vivos para el aprovechamiento energético de varios compuestos aromáticos.

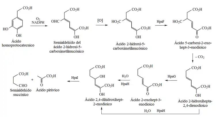
La degradación del ácido homoprotocatecuico procede por los siguientes pasos:
- Escisión oxidativa del anillo aromático en presencia de oxígeno y NADPH por acción de la 3,4-dihidroxifenilacetato 2,3-dioxigenasa (EC 1.13.11.15). El producto es el semialdehído del ácido 2-hidroxi-5-carboximetilmucónico.
- Oxidación del semialdehído al ácido carboxílico por acción de la 5-carboximetil-2-hidroximucónico-semialdehído deshidrogenasa (EC 1.2.1.60). Una enzima diferente que realiza la misma reacción en organismos distintos es la 2-hidroxi-4-carboximuconato semialdehído hemiacetal deshidrogenasa (EC:1.1.1.312)
- Tautomería ceto con metátesis de doble ligadura, catalizada por la 5-carboximetil-2-hidroximuconato isomerasa (EC 5.3.3.10 o HpaF).
- Descarboxilación catalizada por la 5-oxopent-3-eno-1,2,5-tricarboxylato decarboxilasa (EC 4.1.1.68). El producto es el ácido 2-hidroxihepta-2,4-dienodioico.
- Tautomería ceto con metátesis de doble ligadura, catalizada por la 2-hidroximuconato isomerasa (EC 4.1.1.68 o HpaG).
- Hidratación del alqueno catalizada por una hidratasa (HpaH).
- Condensación aldólica inversa, para producir ácido pirúvico y semialdehído succínico. Esta reacción es catalizada por una aldolasa (HpaI)

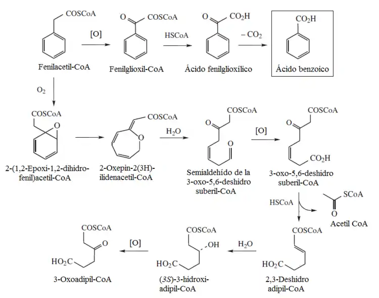
La fenilacetil-Coenzima A puede degradarse por dos vías:
- 1- Vía benzoato: la fenilacetil-Coenzima A se oxida en posición bencílica para formar fenilglioxil-Coenzima A (Con participación de la fenilacetil-CoA deshidrogenasa, EC 1.17.5.1 y una quinona). El éster de la coenzima A se hidroliza (La enzima es la fenilacetil-CoA hidrolasa, EC 3.1.2.25) y se descarboxila con oxidación por acción de la fenilglioxilato deshidrogenasa (EC 1.2.1.58).
- 2- Via 3-oxoadipil-CoA: Ocurren 7 reacciones, todas catalizadas por enzimas: epoxidación del anillo aromático en la posición 1,2 (1,2-fenilacetil-CoA epoxidasa de anillo, subunidad PaaA); expansión de anillo por una reacción electrocíclica inversa (2-(1,2-epoxi-1,2-dihidrofenil)acetil-CoA isomerasa; EC 5.3.3.18); hidrólisis de la oxepina (Sistema oxepina-CoA hidrolasa / 3-oxo-5,6-deshidrosuberil-CoA semialdehído deshidrogenasa;EC:3.7.1.16 y EC 1.17.1.7); condensación de Claisen inversa (acetil-CoA acetiltransferasa); hidratación del alqueno (enoil-CoA hidratasa EC:4.2.1.17) y oxidación del alcohol (3-hidroxibutiril-CoA deshidrogenasa EC 1.1.1.157). Los catabolitos formados son acetil coenzima A y 3-oxoadipil-Coenzima A (Este intermediario puede formar acetil couenzima A y butiril-Coenzima A).

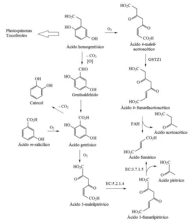
La degradación del ácido homogentísico tiene dos posibles rutas:
- Vía a) Por descarboxilación del ácido homogentísico. Se produce primero gentisaldehído, el cual se oxida a su ácido correspondiente, el ácido gentísico (Enzima: aril-aldehído deshidrogenasa, EC 1.2.1.29). El ácido m-salicílico (el cual se forma durante la degradación del benzoato) puede hidroxilarse para formar ácido gentísico. El ácido gentísico puede descarboxilarse (Gentisato descarboxilasa EC 4.1.1.62) para formar dihidroquinona (El cual se degrada de acuerdo a lo mostrado más adelante en la degradación del ácido benzoico) o puede sufrir escisión oxidativa del anillo aromático (Gentisato 1,2-dioxigenasa, EC 1.13.11.4) para formar el ácido 3-maleilpirúvico. Éste se isomeriza a su forma trans (Maleilpiruvato isomerasa, EC 5.2.1.4), el ácido 3-fumarilpirúvico. Por medio de una condensación de Claisen inversa (acilpiruvato hidrolasa EC 3.7.1.5) se obtienen ácido fumárico y ácido pirúvico.
- Vía b) El ácido homogentísico sufre directamente la escisión oxidativa (Enzima: homogentisato 1,2-dioxigenasa EC 1.13.11.5) para formar ácido 4-maleilacetoacético, se isomeriza a la forma trans (maleilacetoacetato isomerasa EC 5.2.1.2) y sufre una condensación de Claisen inversa para formar ácido acetoacético y ácido fumárico (fumarilacetoacetasa EC 3.7.1.2).

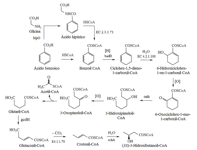
Degradación del ácido benzoico
El ácido benzoico es un metabolito de degradación de compuestos aromáticos en plantas y bacterias.[62] Este compuesto es un xenobiótico que puede resultar tóxico para animales y hongos, por lo que los seres vivos han desarrollado distintas rutas complejas para la degradación del ácido benzoico o sus sales. El esquema general es la hidroxilación del ácido benzoico (la cual se puede efectuar en distintas posiciones) para dar intermediarios que pueden escindirse oxidativamente para dar derivados del ácido mucónico. Estos compuestos pueden seguirse oxidando para producir moléculas que pueden incorporarse en el ciclo de ácido cítrico:[63]

Muchos mamíferos herbívoros eliminan el ácido benzoico por la formación del ácido hipúrico. La benzoil Coenzima A puede funcionar como unidad de iniciación en la ruta de los policétidos.

Referencias
- Vered Tzin and Gad Galili. "New Insights into the Shikimate and Aromatic Amino Acids Biosynthesis Pathways in Plants." Molecular Plant (2010); 3(6):956–972
- Knaggs AR "The biosynthesis of shikimate metabolites." Nat. Prod. Rep. (2003); 20:p. 119–136.
- B. Buchanan, W. Gruissem, R. Jones, "Biochemistry & Molecular Biology of Plants,". (2000), Edit. American Society of Plant Physiologists. pp. 1281-1292
- Romeo, Ibrahim,Varin, DeLuca. "Evolution of Pathways." Vol 34. Edit. Pergamon (2000)
- Joel E. Ream, Hans C. Steinrücken, Clark A. Porter, and James A. Sikorski. "Purification and Properties of 5-Enolpyruvylshikimate-3-Phosphate Synthase from Dark-Grown Seedlings of Sorghum bicolor". Plant Physiol. (1988); 87(1):p. 232–238.
- Feldman KS Recent progress in ellagitannin chemistry. Phytochemistry (2005) 66:p. 1984–2000.
- Haslam E Vegetable tannins – lessons of a phytochemical lifetime. Phytochemistry (2007) 68: 2713–2721.
- o-Cyclohexyl Fatty Acids in Acidophilic Thermophilic Bacteria ; THE JOURNAL OF BIOLOGICAL CHEMISTRY Vol. 250, No. 17, Issue of September 10, pp. 6963-6966, 1975
- G. W. J. Fleet, T. K. M. Shing and S. M. Warr, J. Chem. SOC., Perkin 1, 1984, 905.
- Mao, Y.; Varoglu, M.; Sherman, D.H. "Molecular characterization and analysis of the biosynthetic cluster for the antitumor antibiotic mitomycin C from Streptomyces lavendulae NRRL 2564." Chemistry & Biology 1999, 6, 251–263
- Varoglu, M.; Mao, Y.; Sherman, D.H. "Mapping the Biosynthetic Pathway by Functional Analysis of the MitM Aziridine N-Methyltransferase." J. Am. Chem. Soc. 2001, 123, 6712–6713 and references therein.
- Mao Y.; Varoglu M.; Sherman D.H. Molecular characterization and analysis of the biosynthetic gene cluster for the antitumor antibiotic mitomycin C from Streptomyces Iavendulae NRRL 2564. Chemistry and Biology (1999) 6(4):251–263
- Mavrodi D, Bonsall, R, Delaney, S, Soule, M, Phillips G & Thomashow, L. S. (2001). «Function analysis of genes for biosynthesis of pyocyanin and phenazine -1-carboxamide from Pseudomonas aeruginosa PAO1». Journal of Bacteriology 183 (21): 6454-6465. PMC 100142. PMID 11591691. doi:10.1128/JB.183.21.6454-6465.2001.
- «Phenazine-1-carboxylic acid, a secondary metabolite of Pseudomonas aeruginosa, alters expression of immunomodulatory proteins by human airway epithelial cells». American Journal of Physiology 285: 584-L592. 2003. doi:10.1152/ajplung.00086.2003.
- Stadthagen G, Kordulakova J, Griffin R, Constant P, Bottova I, Barilone N, Gicquel B, Daffe M, Jackson M. p-Hydroxybenzoic acid synthesis in Mycobacterium tuberculosis. J Biol Chem 280:40699-706 (2005)
- The Biosynthesis Of Lunarine In Seeds Of Lunaria Annua Silvia Sagner, Zheng-Wu Shen, Brigitte Deus-Neumann And Meinhart H. Zenk. Phytochemistry (1998) V. 47(3): pp. 375-387,
- Poulton. "Cyanogenesis in Plants" Plant Physiol. (1990) 94: p.401-405.
- Dewick, P.M. (2009). Medicinal Natural Products. A biosynthetic approach. UK: John Wiley and Sons. pp. 539. ISBN 978-0-470-74168-9.
- Zecca L., Tampellini D., Gerlach M., Riederer P.,Fariello R.G., Sulzer D. "Substantia nigra neuromelanin: structure, synthesis, and molecular behaviour." Molecular Pathology (2001) 54:p. 414–418.
- Blashko. "Catecholamine biosynthesis". Br. Med. Bull. (1973) 29(2):p. 105-109
- Strack D., Vogt T., Schliemann W. "Recent advances in betalain research". Phytochemistry (2003) 62:p.247–269.
- Mueller L.K., Hinz U., Zryd J.-P. "The formation of betalamic acid and muscaflavin by recombinant DOPA-dioxygenase from Amanita." Phytochemistry (1997) 44:p. 567–569.
- Khanna, M. Takido, H. Rosenberg And A. G. Paul. "Biosynthesis of phenolic tetrahydroisoquinoline alkaloids of peyote". Phytochemistry, (1970) 9: pp. 1811-1815.
- D. E. Cane, Z. Wu and J. E. Van Epp, J. Am. Chem. SOC., 1992, 114, 8479.
- Lignans in food and nutrition. Crosby GA. 2005. Food Technology 59 (5): 32-35.
- Nomenclature de lignans and neolignans. (IUPAC Recommendations 2000). Moss GP. 2000. Pure and Applied Chemistry 72 (8): 1493–1523.
- de Gonzalo, Gonzalo; Colpa, Dana I.; Habibi, Mohamed H. M.; Fraaije, Marco W. (16 de agosto de 2016). «Bacterial enzymes involved in lignin degradation». Journal of Biotechnology 236: 110-119. doi:10.1016/j.jbiotec.2016.08.011. Consultado el 27 de septiembre de 2017.
- Taiz, Lincoln y Eduardo Zeiger. "Secondary Metabolites and Plant Defense". En: Plant Physiology, Fourth Edition. Sinauer Associates, Inc. 2006. Capítulo 13.
- Morris P, Robbins M P. 1997. "Manipulating condensed tannins in forage legumes" en: BD Mc.Kersie, DCW Brown (editores). Biotechnology and the improvement of Forage Legumes, CAB International, Wallingford, Oxon, UK. pp. 147-173
- Nita Agara, Antony R. Young (abril de 2005). «Melanogenesis: a photoprotective response to DNA damage?». Mutation research 571 (1-2): 121-32. PMID 15748643. doi:10.1016/j.mrfmmm.2004.11.016.
- Clement JS, TJ Mabry, H Wyler y AS Dreiding. 1994. "Chemical review and evolutionary significance of the betalains". En: Caryophyllales, H-D Behnke y TJ Mabry (eds.) 247-261. Springler, Berlin.
- Strack D., Vogt T., Schliemann W. "Recent advances in betalain research." Phytochemistry (2003) V.62:247–269.
- Ghosal, S. et al. (1985) Phytochemistry, 24, 2141.
- Hilger, C. S.; Fugmann, B.; Steglich, W. Tetrahedron Lett. 1985, 26, 5975–5978
- Feling RH; Buchanan GO; Mincer TJ; Kauffman CA; Jensen PR; Fenical W (2003). «Salinosporamide A: a highly cytotoxic proteasome inhibitor from a novel microbial source, a marine bacterium of the new genus salinospora». Angew. Chem. Int. Ed. Engl. 42 (3): 355-7. PMID 12548698. doi:10.1002/anie.200390115.
- Chauhan D; Catley L; Li G et al. (2005). «A novel orally active proteasome inhibitor induces apoptosis in multiple myeloma cells with mechanisms distinct from Bortezomib». Cancer Cell 8 (5): 407-19. PMID 16286248. doi:10.1016/j.ccr.2005.10.013. Parámetro desconocido
|name-list-format=
ignorado (ayuda) - Sankawa, U. et al. Phytochemistry (1977) v.16: pp.561- 563
- Gupta, R.N.; Horsewood P., Koo S.H., Spenser I.D. Can. J. Chem (1979) v.57:pp.1606-1614
- Chakraborty, D. P.; Barman, B. K.; Bose, P. K. Sci. Cult. (1964) v. 30 p.445.
- Dewick, P. M. Medicinal Natural Products: A Biosynthetic Approach 3rd ed. (2009) John Wiley & Sons Ltd: Chichester, U.K.
- (188) Battersby, A. R.; Brown, R. T.; Kapil, R. S.; Plunkett, A. O.;Taylor, J. B. Chem. Commun. (1966) p. 46.
- Leistner, E.; Zenk, M. H. Tetrahedron Lett. (1968) v.9 p.1395
- Kureel, S. P.; Kapil, R. S.; Popli, S. P. Experientia (1969) v.25 p. 790.
- Kong, Y.-C.; Cheng, K.-F.; Ng, K.-H.; But, P. P.-H.; Li, Q.; Yu,S.-X.; Chang, H.-T.; Cambie, R. C.; Kinoshita, T.; Kan, W.-S.;Waterman, P. G. Biochem. Syst. Ecol. (1986) v.14 p.491
- Eijkman, J. F. Recl. Trav. Chim. Pays−Bas Belg. (1885) v.4, p.32
- Narasimhan, N. S.; Paradkar, M. V.; Chitguppi, V. P.; Kelkar, S. L. Indian J. Chem. (1975) v.13 p.993.
- Roy, S.; Guha, R.; Ghosh, S.; Chakraborty, D. P. Indian J. Chem. (1982) v.21B p.617.
- Kureel, S. P.; Kapil, R. S.; Popli, S. P. J. Chem. Soc. D (1969) p.1120
- Albert L. Lehninger, David Lee Nelson, Michael M. Cox (2005). W.H. Freeman,, ed. Principles of biochemistry, Vol. 1 4th ed.. ISBN 0716743396.
- Preobrazhenskaya, M.N. et al., Pharmacol. Ther., 1993, 60, 303- 313
- Borthwick AD (2012). «2,5-Diketopiperazines: Synthesis, Reactions, Medicinal Chemistry, and Bioactive Natural Products». Chemical Reviews 112 (7): 3641-3716. PMID 22575049. doi:10.1021/cr200398y.
- http://www.sigmaaldrich.com/catalog/product/sigma/v7755?lang=en®ion=US
- Baldwin et al. Angew. Chem. Int. Ed. 1998, 37, No. 19.
- Goodman Gilman, Alfred; Goodman, Louis S.; Rall, Theodore W.; [et al] (1986). «(39)». Goodman y Gilman: Las bases farmacológicas de la terapéutica (7a. ed. edición). Buenos Aires: Médica Panamericana. pp. 890-891. ISBN 9500608472.
- Dewick, P.M. (2009). Medicinal Natural Products. A biosynthetic approach. UK: John Wiley and Sons. ISBN 978-0-470-74168-9.
- Karaman MW, Herrgard S, Treiber DK, Gallant P, Atteridge CE, Campbell BT, Chan KW, Ciceri P, Davis MI, Edeen PT, Faraoni R, Floyd M, Hunt JP, Lockhart DJ, Milanov ZV, Morrison MJ, Pallares G, Patel HK, Pritchard S, Wodicka LM, Zarrinkar PP (2008). «A quantitative analysis of kinase inhibitor selectivity». Nat. Biotechnol. 26 (1): 127-132. PMID 18183025. doi:10.1038/nbt1358.
- Kimmel, K.E. et al., Can. J. Microbiol., 1969, 15, 111- 116
- Sánchez, C. et al., ChemBioChem, 2006, 7, 1231- 1240
- Asamizu, S. et al., Tet. Lett., 2007, 48, 2923- 2926
- Kegg Pathway Catabolism of Tryptophan
- Occurrence of the Fungal Toxin Orellanine as a Diglucoside and Investigation of Its Biosynthesis. Peter Spiteller, Michael Spiteller, Wolfgang Steglich. Angewandte Chemie International Edition. Volume 42, Issue 25, pages 2864–2867, June 30, 2003
- Abd El-Mawla AMA, Beerhues L "Benzoic acid biosynthesis in cell cultures of Hypericum androsaemum." Planta (2002) 214:p. 727-733
- Kegg Pathways: Benzoate degradation http://www.genome.jp/kegg/pathway/map/map00362.html