Glucosinolato
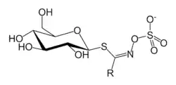
Los glucosinolatos (también denominados tioglicósidos) son S-glicósidos en los que la glicona es b-D-tioglucosa y la aglicona es una oxima sulfatada.[1] Son compuestos naturales del metabolismo secundario de las plantas, principalmente presentes en las Brassicas. Originalmente también se denominaron "mustard oil glucosides" (glucosidos de áceite de mostaza) o "tioglucósidos", ya que se descubrieron como derivados de los aceites de mostaza. Se hidrolizan por las enzimas mirosinasas (Rodman 1981[2]), para dar lugar a los isotiocianatos, que constituyen las moléculas activas. Estas moléculas contribuyen a la defensa de las plantas frente a insectos y patógenos y también tienen propiedades beneficiosas para la salud humana debido a su potencial mecanismo de protección frente a infecciones y al cáncer (Traka y Mithen, 2009).[3]

Uno de los glucosinolatos naturales más abundantes es la sinigrina.
Químicamente son glucósidos que contienen J-D-tioglucosa.
En algunos casos parecen ofrecer protección frente a algunos tipos de cáncer.
Los glucosinolatos son los responsables del sabor picante de especias como la mostaza o los rábanos picantes.
Cada brassica (brócoli, coliflor, coles de Bruselas, repollo, berza, col rizada, mostaza, colza, etc.) posee un perfil de glucosinolatos determinado. De entre todas las brassicas, el brócoli es la que aparece con mayor frecuencia en estudios científicos mostrando efectos antiproliferativos celulares (Moreno et al., 2006).[4] Esto se debe a la presencia de los glucosinolatos glucorrafanina, y glucobrasicina (Jeffery y Araya, 2009).[5]
Algunos glucosinolatos, como la progoitrina presente en la colza, al hidrolizarse dan lugar a productos goitrogénicos (es decir antitiroideos). Por ello, se restringe el consumo de brasicas con progoitrina en personas con alteraciones de tiroides. Además, en la industria de fabricación de piensos es considerado como un agente antinutritivo para el ganado.
Evolutivamente se originaron dos veces, por lo que se encuentran en dos líneas de plantas no emparentadas filogenéticamente: en todos los Brassicales por un lado, y en Drypetes (familia Putranjivaceae, antes Euphorbiaceae, Rodman et al. 1981[6]).
Los glucosinatos de las dos familias pertenecientes al núcleo de las brassicales (Brassicaceae, Tovariaceae) son más complejos que los del resto.
Bibliografía
- "Secondary Plant Compounds". En: Judd, W. S. Campbell, C. S. Kellogg, E. A. Stevens, P.F. Donoghue, M. J. 2002. Plant systematics: a phylogenetic approach, Second Edition. Sinauer Axxoc, USA. Capítulo 4; "Structural and Biochemical Characters".
Referencias
- «GLUCOSINOLATOS (TIOGLICÓSIDOS)». www.biorom.uma.es. Consultado el 23 de abril de 2020.
- Rodman JE. 1981. "Divergence, convergence, and parallelism in phytochemical characters: The glucosinolate-myrosinase system." En: Phytochemistry and angiosperm phylogeny. DA Young y DS Seigler (editores). 43-79. Praeger, Nueva York.
- M. Traka and R. Mithen, Glucosinolates, isothiocyanates and human health, Phytochemistry Reviews, 2009. 8:269–282
- D.A. Moreno, M. Carvajal, C. Lopez-Berenguer, C. Garcıa-Viguera, Chemical and biological characterisation of nutraceutical compounds of broccoli, Journal of Pharmaceutical and Biomedical Analysis, 2006, 41, 1508–1522
- Elizabeth H. Jeffery, Marcela Araya, Physiological effects of broccoli consumption, Phytochem Rev (2009) 8:283–298
- Rodman JE, PS Soltis, DE Soltis, KJ Sytsma y KG Karol. 1998. "Parallel evolution of glucosinolate biosynthesis inferred from congruent nuclear and plastid gene phylogenies." Am. J. Bot. 85: 997-1006.