Transposición de Willgerodt
La transposición de Willgerodt es una reacción orgánica que convierte alquil aril cetona a su amida correspondiente por reacción con polisulfuro de amonio ; debe su nombre al químico Conrad Willgerodt.[1][2] La formación del ácido carboxílico correspondiente es una reacción secundaria . Cuando el grupo alquilo es una cadena alifática (n= 0-5), ocurren varias reacciones que tienen consecuencia que el grupo amida siempre termina en el extremo.

Un ejemplo con reactivos modificados (azufre, hidróxido de amonio concentrado y piridina ) es la conversión de acetofenona en 2-fenilacetamida y ácido fenilacético:[3]

Reacción de Willgerodt-Kindler
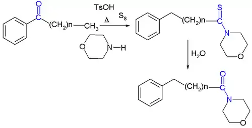
La reacción de Willgerodt-Kindler[4] se lleva a cabo con azufre elemental y una amina como la morfolina. El producto inicial es una tioacetamida[5] la cual puede ser hidrolizada a la amida. La reacción toma el nombre del químico Karl Kindler.

Mecanismo de Reacción
Un posible mecanismo de reacción para la variación de Kindler[6] se describe a continuación:

Para la primera etapa de la reacción es fundamental la formación de la imina de la cetona. Después se lleva a cabo la tautomerización del grupo amina de la morfolina a la enamina (4). Esta reacciona con el azufre para dar el sulfuro 6 . La reacción de transposición tiene lugar cuando el grupo amino ataca al tiocarbonilo 7 en una adición nucleofílica formando temporalmente un anillo de aziridina (8). Esta se escinde para formar un aminoalquenilsulfuro que tautomeriza a la tioamida 11. Esta se puede hidrolizar para formar la amida correspondiente.
Referencias
- Willgerodt, Ber., 20, 2467 (1887); 21, 534 (1888)
- Carmack, M.; Spielman, M. A. Org. React. 1946, 3.
- The Willgerodt Reaction. II. A Study of Reaction Conditions with Acetophenone and Other KetonesDeLos F. DeTar and Marvin Carmack J. Am. Chem. Soc. 1946, 68(10), 2025 - 2029. (doi 10.1021/ja01214a047)
- Karl Kindler (1923). «Studien über den Mechanismus chemischer Reaktionen. Erste Abhandlung. Reduktion von Amiden und Oxydation von Aminen». Liebigs Annalen 431 (1): 187-230. doi:10.1002/jlac.19234310111.
- Organic Syntheses, Coll. Vol. 9, p.99 (1998); Vol. 74, p.257 (1997). (Article)
- Name Reactions and Reagents in Organic Synthesis Bradford P. Mundy, Michael G. Ellerd, Frank G. Jr. Favaloro 2005 ISBN 0-471-22854-0