Transposición de Wallach
La transposición de Wallach, reportada por primera vez en 1880 por el químico alemán Otto Wallach (1847–1931) , es una reacción orgánica de transposición en donde un compuesto aromático azoxi se trata con ácido sulfúrico, de 60% a 100%, para producir un compuesto azo con un anillo de areno sustituido por un grupo hidroxilo en la posición para aromática.[1][2]

Es una reacción realacionada conceptualmente con la transposición de Fries, la transposición de Fischer-Hepp, la transposición de Bamberger, la transposición de la bencidina y la transposición de Hofmann-Martius.
Mecanismo de reacción
El mecanismo de reacción para esta reacción no se conoce con gran precisión a pesar de la evidencia experimental:
- El principal efecto isotópico cinético para el protón del areno está cerca de uno, por lo que la ruptura del enlace C-H correspondiente queda excluida en el paso determinante de la reacción.
- La cinética química con la participación de dos protones en la reacción: la velocidad de reacción de la transposición se incrementa más allá de la etapa de monoprotonation completa del sustrato.
- Otras pruebas cinéticas identifican la donación de protones como el segundo paso determinante de la reacción.
- El átomo de oxígeno fenólico en el producto no es el átomo de oxígeno en el reactivo, sino que es proporcionado por el solvente .
- El marcaje isotópico del átomo de nitrógeno N-O en el azoxibenceno da el compuesto azo con el isótopo N15 distribuido en ambos átomos de nitrógeno, lo cual indica un intermediario simétrico.
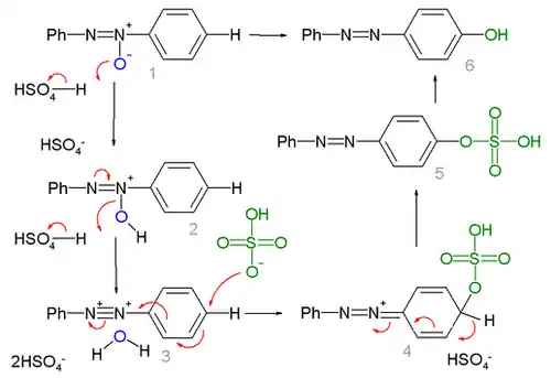
Otro mecanismo consistente con estos resultados se muestra a continuación:

En la primera parte de la reacción, dos equivalentes de ácido forman agua como grupo saliente en el grupo azoxi. El intermediario dicatiónico 3, con un arreglo inusual R-N+:::N+-R , el cual ha sido observado por RMN de protón en un sistema de ácido fluoroantimónico y azoxibenceno a -50 °C.[3] En la segunda parte de la reacción, el anión bisulfato HSO4- funciona como un nucleófilo en una sustitución nucleofílica aromática seguida de una hidrólisis.
Referencias
- Otto Wallach and E. Belli, Chem. Ber., 13, 525 (1880) doi 10.1002/cber.188001301153
- Catalysis in strongly acidic media and the Wallach rearrangement Erwin Buncel Acc. Chem. Res.; 1975; 8(4) pp 132 - 139; doi 10.1021/ar50088a004
- Stable carbocations. CXXIX. Mechanism of the benzidine and Wallach rearrangements based on direct observation of dicationic reaction intermediates and related model compounds George A. Olah, Kenneth Dunne, David P. Kelly, Y. K. Mo J. Am. Chem. Soc.; 1972; 94(21); 7438-7447.doi 10.1021/ja00776a029 10.1021/ja00776a029