Transposición de Boulton-Katritzky

La Transposición de Boulton–Katritzky es una reacción de termólisis en la que un heterociclo de cinco miembros transpone en un segundo heterociclo.[1][2]

El sustrato más utilizado para esta reacción es el 1,2,4-oxadiazol (D = O; B = CH; A = N).

Síntesis de pirazoloindoles

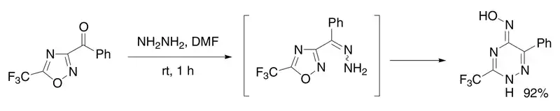
Síntesis de 1,2,4-triazinas

Referencias

  1. Boulton, A. J.; Katritzky, A. R.; Hamid, A. M. J. Chem. Soc. (C) 1967, 2005. Alan Katritzky, a professor at the University of Florida, is best known for his series Advances of Heterocyclic Chemistry, now in its 87th volume.
  2. 2009, Name Reactions, A Collection of Detailed Mechanisms and Synthetic Applications. Li, Jie Jack. Springer. ISBN 978-3-642-01053-8
Este artículo ha sido escrito por Wikipedia. El texto está disponible bajo la licencia Creative Commons - Atribución - CompartirIgual. Pueden aplicarse cláusulas adicionales a los archivos multimedia.