Tipos de anualidades
En la rama de las matemáticas financieras o ingeniería económica existen diferentes Tipos de anualidades ordinarias, anticipadas, diferidas y perpetuas.
Anualidad ordinaria
Una anualidad ordinaria es una serie de flujos de cajas iguales o constantes que se realizan a intervalos iguales de tiempo, que no necesariamente son anuales, sino que pueden ser diarios, quincenales, mensuales, bimestrales, trimestrales, cuatrimestrales, semestrales, anuales.[1]
Valor Presente
Donde:
- : valor presente
- : tasa de interés efectiva
- : valor de pagos uniformes
- : cantidad de periodos
Valor futuro
Donde:
- : valor futuro
- : tasa de interés efectiva
- : valor de pagos uniformes
- : cantidad de periodos
Usos
- Amortización de préstamos en abonos.
- Deducción de la tasa de interés en una operación de pagos en abonos.
- Constitución de fondos de amortización.
- Sueldos.
- Seguro social.
- Pagos a plazos.
- Pensiones.
Anualidad Anticipada
Una anualidad anticipada es aquella en que los pagos se hacen con dinero o tarjeta al principio del periodo[2]
Valor Presente
Donde:
- : valor presente
- : tasa de interés efectiva
- : valor de pagos uniformes
- : cantidad de periodos
Valor futuro
Donde:
- : valor futuro
- : tasa de interés efectiva
- : valor de pagos uniformes
- : cantidad de periodos
Usos
- Amortización de préstamos en abonos.
- Rentas
- Deudas
- Pago de hipotecas
- Pensiones
- Alquileres
x etc.
Anualidad Diferida
Las anualidades diferidas son en las que el primer pago no se realiza en el primer periodo si no que por el contrario pueden pasar varios periodos antes de que se realice el primer pago.[2]
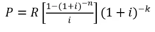
Valor Presente

donde:
- P: valor presente
- i: tasa de interés efectiva
- R: valor de pagos uniformes
- n: cantidad de periodos
- k: cantidad de periodos que se difieren los pagos
Valor futuro

donde:
- S: valor futuro
- i: periodos
- k: cantidad de periodos que se difieren los pagos
Usos
- Amortización de préstamos en abonos.
- Deducción de la tasa de interés en una operación de pagos en abonos.
- Constitución de fondos de amortización.
- Rentas
- Sueldos
- Seguro social
- Pagos a plazos
- Pago de hipotecas
- Pensiones
- Alquileres
- Jubilaciones
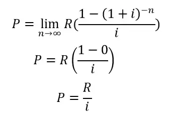
Anualidad Perpetua
Una anualidad perpetua es aquella en la que no existe el último pago, o aquella que tiene infinito números de pagos[3]
Valor Presente

donde:
- P: valor presente
- i: tasa de interés efectiva
- R: valor de pagos uniformes
- n: cantidad de periodos
Usos
- cuotas de mantenimiento
- inversiones a muy largo plazo
- Seguro social
- Pensiones
- Algunos casos de alquileres
- Jubilaciones
Referencias
- Ramírez; García; Pantoja; Zambrano (2009). Matemáticas Financieras. Colombia: Universidad Libre Sede Cartagena.
- Baca Currea, Guillermo. Ingeniería económica. Editorial educativa.
- Ramirez; García; Pantoja; Zambrano. Matemáticas Financieras. Colombia: Universidad Libre Sede Cartagena.
Bibliografía
- Coss Bu. (2005). Análisis y evaluación de proyectos de inversión. Limusa.
- Zagarramurdi, Aurora. (1998). Ingeniería económica aplicada a la industria. Danida.
- Blank & Tarquin. (2006). Ingeniería económica. McGraw Hill.
- García Urbina, Gabriel (2007). Fundamentos de Ingeniería Económica. McGraw Hill.
- Ramírez, García, Pantoja & Zambrano (2009). Matemáticas Financieras. Universidad Libre Sede Cartagena.
- Baca Cuerra, Guillermo (2007). Ingeniería económica. McGraw Hill.