Síntesis del éster acetoacético
La síntesis del éster acetoacético es una reacción química donde el acetoacetato de etilo es alquilado en carbono α de ambos grupos carbonilo y luego es convertido en una cetona, o más específicamente, en una acetona sustituida en α. Esto es muy similar a la síntesis malónica.
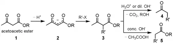
Mecanismo
Una base fuerte deprotona al carbono α dicarbonílico. Este átomo de carbono es preferido al carbono metílico debido a que el enolato formado es un sistema conjugado, y en consecuencia está estabilizado por resonancia. El átomo de carbono sufre luego una sustitución nucleofílica. Cuando se caliente con ácido acuoso, el nuevo éster alquilado es hidrolizado a un β-cetoácido, que se decarboxila para formar una metilcetona.[1]

Véase también
Referencias
- Smith, Janice Gorzynski. Organic Chemistry: Second Ed. 2008. pp 905-906
Este artículo ha sido escrito por Wikipedia. El texto está disponible bajo la licencia Creative Commons - Atribución - CompartirIgual. Pueden aplicarse cláusulas adicionales a los archivos multimedia.