Síntesis de triazinas de Pinner

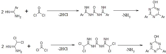
La síntesis de triazina de Pinner describe la preparación de 2-hidroxil-4,6-diaril-s-triazinas por reacción de aril amidinas y fosgeno. Esta reacción puede extenderse a amidinas alifáticas halogenadas.[1][2][3]

Esta reacción fue reportada por primera vez por Adolf Pinner en 1890[4]

Referencias

  1. H. Schröder, C. Grundmann, J. Am. Chem. Soc. 78, 2447 (1956)
  2. E. M. Smolin, L. Rapoport, The Chemistry of Heterocyclic Compounds, A. Weissberger, Ed., s-Triazines and Derivatives (Interscience, NY, 1959) p186
  3. Merck Index 14th Ed.
  4. A. Pinner, Chemische Berichte, 23, 2919 (1890)
Este artículo ha sido escrito por Wikipedia. El texto está disponible bajo la licencia Creative Commons - Atribución - CompartirIgual. Pueden aplicarse cláusulas adicionales a los archivos multimedia.