Síntesis de Stollé
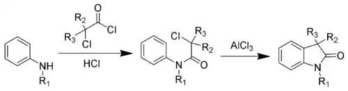
La síntesis de Stollé es un método de síntesis orgánica para producir oxoindoles a partir de anilinas y cloruros de ácidos α-halocarboxílicos (o cloruro de oxalilo).[1][2][3][4]

Diagrama de la síntesis de Stollé.
El primer paso es el ataque del nitrógeno de la anilina al carbonilo de cloruro de ácido. El segundo paso es una reacción de Friedel-Crafts.[5][6] Se ha desarrollado un procedimiento mejorado.[7][8]
Referencias
- Stollé, R. Ber. 1913, 46, 3915.
- Stollé, R. Ber. 1914, 47, 2120.
- Stollé, R. J. Prakt. Chem. 1923, 105, 137.
- Stollé, R. J. Prakt. Chem. 1930, 128, 1.
- Sumpter, W. C. Chem. Rev. 1944, 34, 396. (Review)
- Sumpter, W. C. Chem. Rev. 1945, 37, 446. (Review)
- Julian; Pikl J. Am. Chem. Soc. 1935, 57, 563.
- Rutenberg, M. W.; Horning, E. C. (1963). "1-Methyl-3-ethyloxindole". Org. Synth.; Coll. Vol. 4: 620.
Véase también
Este artículo ha sido escrito por Wikipedia. El texto está disponible bajo la licencia Creative Commons - Atribución - CompartirIgual. Pueden aplicarse cláusulas adicionales a los archivos multimedia.