Síntesis de Auwers
La Síntesis de Auwers es un método de síntesis orgánica en el que se obtiene un flavonol a partir de una 2,3-dihidro-3-benzofuranona. Esta reacción fue reportada por Karl von Auwers en 1908.[1][2][3][4]

The Auwers synthesis
Mecanismos
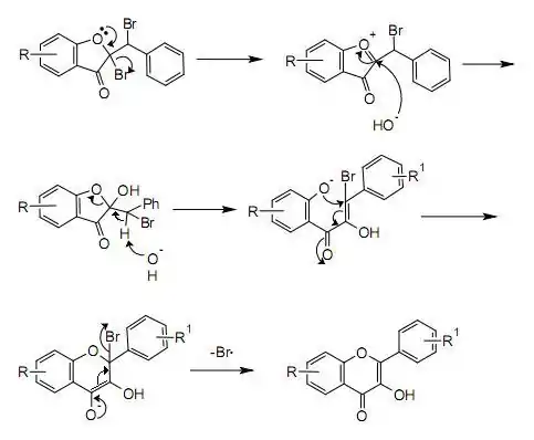
El primer paso de este procedimiento es una condensación aldólica catalizada por ácido entre el benzaldehído y el derivado de la 1-benzofuran-3(2H)-ona, para dar la chalcona correspondiente. La bromación del alqueno de la chalcona procede con la posterior transposición del bromuro vecinal al flavonol en presencia de KOH.
Mecanismo
El posible mecanismo de la reacción se muestra a continuación:

Mechanism
Referencias
- K. v. Auwers et al. Ber. 1908, 41, 4233.
- K. v. Auwers et al. Ber. 1915, 48, 85.
- K. v. Auwers et al. Ber. 1916, 49, 809.
- K. v. Auwers, P. Pohl, Ann. 1914, 405, 243.
Véase también
Este artículo ha sido escrito por Wikipedia. El texto está disponible bajo la licencia Creative Commons - Atribución - CompartirIgual. Pueden aplicarse cláusulas adicionales a los archivos multimedia.