Reducción de Evans–Saksena
La reducción de Saksena-Evans es una reducción diastereoselectiva de β-hidroxicetonas a los correspondientes anti-dialcoholes, empleando el reactivo triacetoxiborohidruro de tetrametilamonio (Me4NHB(OAc)3). La reacción fue descrita por primera vez por Anil K. Saksena en 1983 y desarrollada por David A. Evans en 1987.[1][2]

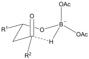
Se cree que la reacción transcurre a través del estado de transición del anillo de 6 miembros que se muestra a continuación. El suministro de hidruro intramolecular proporcionado por el agente reductor de boro fuerza a que la reducción proceda por la cara opuesta del β-alcohol quelante, determinando así la diastereoselectividad.

Esto puede contrastarse con la reducción de Narasaka-Prasad, la cual emplea de manera similar un agente quelante de boro pero experimenta una liberación de hidruro intermolecular, favoreciendo el producto syn-diol correspondiente.
Desde entonces, la reducción de Saksena-Evans se ha utilizado en la síntesis de varios productos, en particular las briostatinas.[3][4]
Véase también
- Reacción de Evans–Tishchenko
Referencias
- Saksena, Anil; Mangiaracina, Pietro (1983). «Recent studies on veratrum alkaloids: a new reaction of sodium triacetoxyborohydride [NaBH(OAc)3]». Tetrahedron Letters 24 (3): 273-276. doi:10.1016/S0040-4039(00)81383-0.
- Evans, David; Chapman, K.; Carreira, E. (1988). «Directed reduction of β-hydroxy ketones employing tetramethylammonium triacetoxyborohydride». Journal of the American Chemical Society 110 (11): 3560-3578. doi:10.1021/ja00219a035.
- Masamune, Satoru (1988). «Asymmetric synthesis and its applications: Towards the synthesis of bryostatin 1». Pure Appl. Chem. 60 (11): 1587-1596. doi:10.1351/pac198860111587. Consultado el 30 December 2012.
- Nakagawa-Goto, Kyoko; Crimmins, Michael (2011). «Synthetic Approaches to the Bottom Half Fragment for Bryostatin 11». Synlett 2011 (11): 1555-1558. doi:10.1055/s-0030-1260784.