Reacción de Wulff–Dötz
La reacción de Wulff-Dötz (también conocida como la reacción de Dötz o la reacción de benzanulación de los complejos de carbeno de Fischer) es la reacción química de un complejo de carbeno de alcoxipentacarbonilcromo aromático o vinílico con un alquino y monóxido de carbono para dar un fenol sustituido coordinado con tricarbonilcromo [Cr(CO)3].[1][2][3] Se han publicado diversas revisiones.[4][5] La reacción fue nombrada en honor al químico alemán Karl Heinz Dötz (n. 1943) y el químico estadounidense William D. Wulff (n. 1949) de la Universidad Estatal de Michigan.[6] La reacción fue descubierta por primera vez por Karl Dötz y fue desarrollada extensamente por su grupo y el grupo de W. Wulff. Posteriormente comparten el nombre de la reacción.

La posición de los sustituyentes es altamente predecible con el sustituyente alquino más grande (RL) vecino al fenol y el sustituyente alquino más pequeño (RS) vecino al grupo metoxi..[7][8] De ahí, esta reacción es más útil para alquinos terminales que para internos.
El fenol se puede liberar del complejo de cromo mediante una reacción con un oxidante suave, como nitrato de amonio cérico o oxidación con aire.
Dado que esta reacción puede generar rápidamente compuestos fenólicos complejos, la reacción de Wulff-Dötz se ha utilizado con mayor frecuencia en la síntesis de productos naturales, especialmente las vitaminas E y K. También es aplicable a la síntesis de compuestos polifenólicos, como los calixarenos.[9][10][11]
Mecanismo
Se cree que el mecanismo inicia con la pérdida de monóxido de carbono del complejo de carbeno de Fischer 1 para dar el intermediario 3. La pérdida de CO limita la velocidad, lo que dificulta la investigación de este mecanismo de reacción. Entonces el alquino se coordina con el centro del metal, en un proceso de barrera energética baja. El complejo resultante con el alquino transpone al intermediario 4.[12] El complejo η1, η3 mostrado como 4 posteriormente experimenta la inserción de CO para dar el complejo η4-vinilcetena 5, el cual experimenta electrociclización para formar el intermediario 6. Cuándo R1 es hidrógeno, el intermedio 6 es de vida corta y procede la formación del complejo al metal del tricarbonil areno 2. Sin la inserción de CO , la reacción procede a través de 7 al derivado del ciclopentadieno 8.

Ejemplos
La exposición de carbeno de Fischer con cadena lateral de alquenilo a un alquino da un fenol altamente sustituido. El carbono fenólico se origina a partir del ligando de CO. La parte α, β-insaturada también podría ser de un sistema arilo rico en electrones, produciendo un sistema aromático policíclico. Esta reacción fue descubierta por primera vez por Karl Dötz y fue desarrollada extensamente por su grupo, dando así el nombre de reacción de Dötz. A veces se le llama reacción de Wuff-Dötz porque el grupo de William Wuff en la Universidad Estatal de Michigan también contribuyó ampliamente al desarrollo de esta reacción..[13]
El complejo de medio sándwich en la reacción de Dötz se puede desmetalar para dar el producto de arilo correspondiente, o podría emplearse adicionalmente para una estrategia de adición nucleofílica al sistema aromático para la síntesis de un anillo de benceno completamente sustituido.[14]
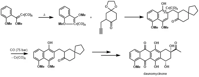
La reacción de Wuff-Dötz ha sido empleada en la síntesis de productos naturales:[15][16]
Reacción de Dötz interrumpida
En varios casos, si la reactividad del reactivo no cumple o no se cumplen las condiciones para que funcione el mecanismo Dotz, los productos derivados de la reacción Dotz interrumpida podrían ser dominantes. Por ejemplo, si los sustituyentes en el alquino son demasiado voluminosos, en su lugar se observaría un producto de ciclobuteno.[17]
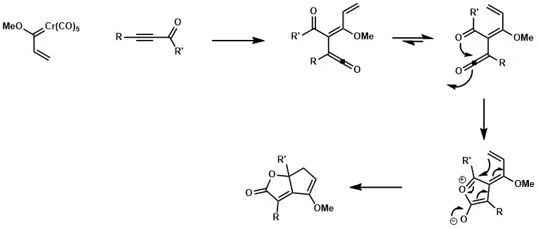
Si el alquino asociado que porta un sustituyente de cetona y tanto R como R 'no son lo suficientemente voluminosos, una conformación favorecida para una ciclización 8e pi podría ser dominante y conducir a un sistema de lactona bicíclica fusionada.[18][19][20]
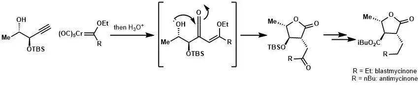
El residuo alqueno o nucleófilo en la cadena lateral de la pareja de alquino podría captar la cetena resultante a través de una cicloadición [2 + 2] o una adición nucleófílica, respectivamente. Esta estrategia se aplicó para la síntesis de blastmicinona y antimicinona..[21][22]
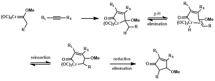
Se podrían formar carbenos de Fischer con un α-hidrógeno que podrían dar un producto de ciclopentenona similar a la reacción de Pauson-Khand. Esto se debe presumiblemente a un proceso de eliminación y reinserción de hidruro β..[23]
Si el resto de alqueno está presente en el carbeno de Fischer, pero no en conjugación, podría observarse ciclopropanación. La estrategia se empleó en una síntesis formal de la carabrona.[24][25]
Referencias
- Dötz, Karl Heinz (September 1975). «Synthesis of the Naphthol Skeleton from Pentacarbonyl-[methoxy(phenyl)carbene]chromium (O) and Tolan». Angewandte Chemie International Edition in English 14 (9): 644-645. doi:10.1002/anie.197506442.
- Heinz Dötz, Karl; Dietz, Robert; von Imhof, Alexander; Lorenz, Hans; Huttner, Gottfried (June 1976). «Reaktionen von Komplexliganden, IV. Stereoselektive Synthese substituierter Naphthaline: Darstellung und Struktur eines Tricarbonyl(naphthalin)chrom(0)-Komplexes». Chemische Berichte 109 (6): 2033-2038. doi:10.1002/cber.19761090610.
- Timko, M.; Yamashita, Ayako (1993). «Synthesis of 2-Substituted Naphthalenediol Derivatives Using Chromium Carbene Complexes: 1-Acetoxy-2-Butyl-4-Methoxynaphthalene». Org. Synth. 71: 72. doi:10.15227/orgsyn.071.0072.
- Waters, Marcey; William, Wulff (2008). The Synthesis of Phenols and Quinones via Fischer Carbene Complexes 70. pp. 121-623. ISBN 978-0471264187. doi:10.1002/0471264180.or070.02.
- Dotz, K. H. (1 January 1983). «Carbon-carbon bond formation via carbonyl-carbene complexes». Pure and Applied Chemistry 55 (11): 1689-1706. doi:10.1351/pac198355111689.
- «The Wulff Group at Michigan State University». Consultado el 23 April 2015.
- Wulff, William D.; Tang, Peng Cho; McCallum, J. Stuart (December 1981). «Regiochemistry of the reaction of chromium-carbene complexes with acetylenes». Journal of the American Chemical Society 103 (25): 7677-7678. doi:10.1021/ja00415a058.
- Chamberlin, Steven; Wulff, William D. (June 1994). «Synthons for the Parent Vinyl Carbene Complex in the Benzannulation Reaction». The Journal of Organic Chemistry 59 (11): 3047-3054. doi:10.1021/jo00090a024.
- Rawat, Manish; Wulff, William D. (February 2004). «Total Synthesis of Carbazoquinocin C: Application of the Benzannulation of Fischer Carbene Complexes to Carbazole-3,4-quinone Alkaloids». Organic Letters 6 (3): 329-332. PMID 14748585. doi:10.1021/ol0360445.
- White, James D.; Smits, Helmars (January 2005). «Application of the Dötz Reaction to Construction of a Major Portion of the Ansa Macrocycle (−)-Kendomycin». Organic Letters 7 (2): 235-238. PMID 15646966. doi:10.1021/ol047779s.
- Fernandes, Rodney; Mulay, Sandip (28 de mayo de 2014). «Chiral Cups (Calixarenes) via Dötz Benzannulation». Synthesis 46 (14): 1836-1846. doi:10.1055/s-0033-1339122.
- Hofmann, Peter; Hämmerle, Martin (July 1989). «The Mechanism of the Dötz Reaction: Chromacyclobutenes by Alkyne–Carbene Coupling?». Angewandte Chemie International Edition in English 28 (7): 908-910. doi:10.1002/anie.198909081.
- Dötz, K. H.; Tomuschat, P. (1999). «Annulation reactions of chromium carbene complexes: scope, selectivity and recent developments». Chemical Society Reviews 28 (3): 187-198. doi:10.1039/A801442F.
- Chamberlin, Steven; Wulff, William D. (December 1992). «Sequential benzannulation/nucleophilic aromatic addition reactions mediated by chromium(0)». Journal of the American Chemical Society 114 (26): 10667-10669. doi:10.1021/ja00052a090.
- Wulff, William D.; Tang, Peng Cho (January 1984). «Anthracycline synthesis with Fischer carbene complexes». Journal of the American Chemical Society 106 (2): 434-436. doi:10.1021/ja00314a037.
- Mahlau, Manuel; Fernandes, Rodney A.; Brückner, Reinhard (21 de junio de 2011). «First Synthesis of the Pyrano-Naphthoquinone Lactone (-)-Arizonin C1». European Journal of Organic Chemistry: n/a. doi:10.1002/ejoc.201100599.
- Yamashita, A.; Toy, A. (January 1986). «Regioselectivity of the reaction of a chromium-carbene complex with alkynes: Examination of steric and electronic factors». Tetrahedron Letters 27 (30): 3471-3474. doi:10.1016/S0040-4039(00)84825-X.
- Brandvold, Timothy A.; Wulff, William D.; Rheingold, Arnold L. (February 1990). «Efficient entry to bicyclic lactones via van Halban-White cyclizations». Journal of the American Chemical Society 112 (4): 1645-1647. doi:10.1021/ja00160a063.
- Brandvold, Timothy A.; Wulff, William D.; Rheingold, Arnold L. (July 1991). «Chromium-mediated cyclizations of cross-conjugated ketoketenes in 8- and 10e- processes». Journal of the American Chemical Society 113 (14): 5459-5461. doi:10.1021/ja00014a051.
- Waters, Marcey L.; Brandvold, Timothy A.; Isaacs, Lyle; Wulff, William D.; Rheingold, Arnold L. (September 1998). «Stereoelectronic Effects on Product Formation from the E - and Z -Isomers of η 1 ,η 3 -Vinyl Carbene Complexed Intermediates in the Reactions of Fischer Carbene Complexes with Alkynes». Organometallics 17 (19): 4298-4308. doi:10.1021/om980509r.
- Wulff, William D.; Kaesler, Ralph W. (August 1985). «Cyclobutanone formation via in situ generated vinyl ketene complexes of chromium». Organometallics 4 (8): 1461-1463. doi:10.1021/om00127a028.
- Ishibashi, Taro; Ochifuji, Nagisa; Mori, Miwako (August 1996). «New lactone synthesis using a chromium carbene complex». Tetrahedron Letters 37 (34): 6165-6168. doi:10.1016/0040-4039(96)01338-X.
- Challener, Cynthia A.; Wulff, William D.; Anderson, Benjamin A.; Chamberlin, Steve; Faron, Katherine L.; Kim, Oak K.; Murray, Christopher K.; Xu, Yao Chang et al. (February 1993). «Cyclopentenone formation via hydrogen activation in the reactions of chromium carbene complexes with alkynes». Journal of the American Chemical Society 115 (4): 1359-1376. doi:10.1021/ja00057a020.
- Parlier, A.; Rudler, H.; Platzer, N.; Fontanille, M.; Soum, A. (May 1985). «Interactions des alcynes avec les complexes carbéniques du tungstène portant une double liaison carbone— carbone: Accès aux dérivés bicyclo[4,1,0] heptaniques par insertion-cyclopropanation». Journal of Organometallic Chemistry 287 (1): c8-c12. doi:10.1016/0022-328X(85)80079-6.
- Hoye, Thomas R.; Vyvyan, James R. (June 1995). «Polycyclic Cyclopropanes from Reactions of Alkene-Containing Fischer Carbene Complexes and Alkynes: A Formal Synthesis of (.+-.)-Carabrone». The Journal of Organic Chemistry 60 (13): 4184-4195. doi:10.1021/jo00118a040.