Reacción de Ramberg-Backlund
La reacción de Ramberg-Bäcklund es una reacción orgánica en donde se convierte una α-halosulfona en un alqueno en presencia de una base con la extrusión de dióxido de azufre.[1] La reacción debe su nombre a los químicos suecos Ramberg Ludwig y Birger Bäcklund. El carbanión formado por desprotonación produce dióxido de tiirano, el cual es inestable y se descompone con la eliminación de dióxido de azufre. Este paso de eliminación es considerado como una cicloeliminación concertada.

La transformación global de la reacción es la conversión de los enlaces de carbono-azufre a un enlace doble carbono-carbono. El proceso original implica la halogenación de un sulfuro, seguida de la oxidación a la sulfona. Recientemente, el método preferido es el que resulta de invertir el orden de los pasos. Después de la oxidación, lo que se hace normalmente con un peroxiácido, se lleva a cabo la halogenación en condiciones básicas mediante el uso de CBr2F2 para el paso de la transferencia de halógeno.[2] Este método fue utilizado para sintetizar 1,8-difenil-1,3,5,7-octatraeno.

La reacción de Ramberg-Bäcklund tiene diversas aplicaciones. Debido a la naturaleza de la eliminación, esta puede ser aplicada a anillos pequeños,[3] y anillos grandes con una doble ligadura.[4]


Las α-halo sulfonas necesarias para la reacción son disponiibles a través de la oxidación de los correspondientes α-halosulfuros con perácidos tales como ácido meta-cloroperbenzoico; la oxidación de los sulfuros se lleva a cabo de manera selectiva en la presencia de alquenos y alcoholes. Los α-halosulfuros a su vez puede ser sintetizados a través del tratamiento de sulfuros con halógenos electrofílicos como La N-clorosuccinimida.[5]
El grupo sulfona contiene un protón ácido en una de las posiciones α-que se extrae a través de una base fuerte (esquema 1). La carga negativa generada en esta posición (de manera formal, un carbanión) es transferida al halógeno residiendo en la otra posición α, en un desplazamiento nucleofílico formándose temporalmente una sulfona heterocíclica de tres miembros. Este intermediario es inestable y se libera dióxido de azufre para formar el alqueno. Generalmente se obtienen mezclas de isómeros cis y trans.[6]
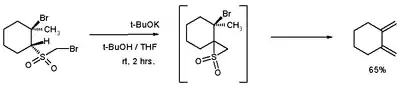
Esta reacción permite sintetizar el 1,2-dimetilenciclohexano.[7]

Se ha reportado una variación para obtener alcoholes alílicos por medio de epóxidos.[8]

Una aplicación de la reacción de Ramberg-Bäcklund es la síntesis de C-glucósidos. El tioéter necesario se puede preparar fácilmente mediante un intercambio con un tiol. La aplicación de las condiciones de Ramberg-Bäcklund conduce a un éter vinílico exocíclico que se puede reducir al C-nucleósido deseado.[9]

Referencias
- L. Ramberg, B. Bäcklund Ark. Chim., Mineral Geol., 1940, 27 Vol 13A, 1- 50.
- T.-L. Chan, S. Fong, Y. Li, T.-O. Mau, and C.-D. Poon, "J. Chem. Soc., Chem. Commun"., 1771 (1994); X.-P. Cao, "Tetrahedron", 58, 1301 (2002) doi:
- L. A. Paquette, J. C. Philips, and R. E. Wingard, Jr. "J. Am. Chem. Soc.," 93, 4516 (1971).
- I. MaGee and E. J. Beck, "Can. J. Chem.," 78, 1060 (2000).
- Böhme, H.; Gran, H. J. Ann. Chem. 1952, 577, 68.
- Paquette, L. Org. React. 1977, 25 1. doi:10.1002/0471264180.or025.01
- Cyclohexane, 1,2-bis(methylene)- Eric Block and Mohammad Aslam Organic Syntheses, Coll. Vol. 8, p.212 (1993); Vol. 65, p.90 (1987) Article Archivado el 5 de junio de 2011 en Wayback Machine.
- The Epoxy-Ramberg-Bäcklund Reaction (ERBR): A Sulfone-Based Method for the Synthesis of Allylic Alcohols European Journal of Organic Chemistry Volume 2006, Issue 7, Date: April 2006, Pages: 1740-1754 Paul Evans, Paul Johnson, Richard J. K. Taylor Abstract
- F. K. Griffin, D. E. Paterson, P. V. Murphy, and R. J. K. Taylor, "Eur. J. Org. Chem.," 1305, (2002)
Véase también
- Reconfiguración de Favorskii
- Reacción de Favorskii
- Transposición de Favorskii
- Síntesis de Favorskii-Babayan