Reacción de Pinner
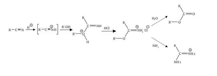
La reacción de Pinner es una reacción química orgánica donde se forma un imino éster (alquil imidato) por adición de cloruro de hidrógeno a un nitrilo y un alcohol.
El posterior tratamiento del imino éster con amonio, amina primaria o amina secundaria da lugar a la formación de la correspondiente amidina. Si tratamos el imino éster con alcohol, obtenemos orto ésteres. Si hidrolizamos el imino éster obtenemos el correspondiente éster.

Este artículo ha sido escrito por Wikipedia. El texto está disponible bajo la licencia Creative Commons - Atribución - CompartirIgual. Pueden aplicarse cláusulas adicionales a los archivos multimedia.