Reacción de Evans–Tishchenko
La reacción de Evans-Tishchenko es la reducción diastereoselectiva de β-hidroxicetonas a los correspondientes monoésteres 1,3-anti-diol. La reacción emplea un ácido de Lewis, a menudo yoduro de samario, y un aldehído. Fue descrito por primera vez en 1990 por David A. Evans y Amir Hoveyda, como un desarrollo de la conocida reacción de Tishchenko descubierta en 1906.[1] La condensación aldólica de Tishchenko proporciona otra ruta potencial para los productos de monoéster de 1,3-diol.[2]

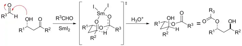
Mecanismo
El mecanismo de reacción implica el ataque del aldehído del grupo alcohol libre. A continuación, el ácido de Lewis puede quelar entre los dos átomos de oxígeno para formar un estado de transición cíclico de 6 miembros. El hidruro, anteriormente el hidrógeno de formilo en el aldehído, se administra por vía intramolecular, lo que explica la anti-diastereoselectividad observada: el resultado es un monoéster de 1,3-anti-diol. El mecanismo propuesto está respaldado además por el marcaje isotópico, que demuestra que el hidrógeno de formilo es el que migra.[3]

Alcance y aplicaciones
El poder de esta reacción en comparación con otros métodos de generación de syn y anti-dioles, como la reducción de Narasaka-Prasad o la reducción de Evans-Saksena, es la capacidad de diferenciar entre los dos grupos hidroxilo resultantes, protegiendo de forma selectiva uno de ellos. Por este motivo, esta reducción ha sido ampliamente utilizada en la literatura, especialmente en la síntesis total de productos naturales.
Referencias
- Evans, David A.; Hoveyda, Amir H. (1990). «Samarium-catalyzed intramolecular Tishchenko reduction of β-hydroxy ketones. A stereoselective approach to the synthesis of differentiated anti 1,3-diol monoesters». Journal of the American Chemical Society 112 (17): 6447-6449. doi:10.1021/ja00173a071.
- Bodnar, Paul M.; Shaw, Jared T.; Woerpel, K. A. (1997). «Tandem Aldol–Tishchenko Reactions of Lithium Enolates: A Highly Stereoselective Method for Diol and Triol Synthesis». Journal of Organic Chemistry 62 (17): 5674-5675. doi:10.1021/jo971012e.
- Ralston, Kevin J.; Hulme, Alison N. (2012). «The Evans–Tishchenko Reaction: Scope and Applications». Synthesis 44 (15): 2310-2324. doi:10.1055/s-0032-1316544.