Reacción de Dutt-Wormall

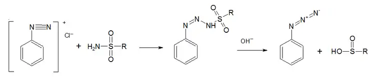
La reacción de Dutt-Wormall es un método clásico de síntesis orgánica de azidas en la que una sal de diazonio reacciona con una sulfonamida para dar como intermediario un diazoaminosulfinato, para ser posteriormente hidrolizado para obtener una azida y un ácido sulfínico[1][2]

Referencias

  1. Pavitra Kumar Dutt, Hugh Robinson Whitehead and Arthur Wormall (1921). «CCXLI.—The action of diazo-salts on aromatic sulphonamides. Part I». J. Chem. Soc., Trans. 119: 2088. doi:10.1039/CT9211902088.
  2. Name Reactions: A Collection of Detailed Reaction Mechanisms By Jie Jack Li Published 2003 Springer ISBN 3-540-40203-9
Este artículo ha sido escrito por Wikipedia. El texto está disponible bajo la licencia Creative Commons - Atribución - CompartirIgual. Pueden aplicarse cláusulas adicionales a los archivos multimedia.