Reacción de De Mayo

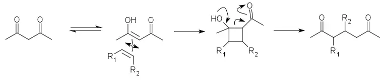
La reacción de De Mayo es una reacción fotoquímica en la que el enol de una 1,3-dicetona reacciona con un alqueno (u otra especie con un enlace C = C) y el anillo de ciclobutano resultante sufre una reacción de condensación retroaldólica para producir un 1,5 -dicetona:[1]

El efecto neto es agregar los dos átomos de carbono en el enlace doble C = C entre los dos grupos carbonilo de la dicetona. Por lo tanto, es útil en síntesis como una forma relativamente selectiva de unir dos partes de una molécula y como una forma de aplicar la química más desarrollada de la síntesis de 1,3-dicetona a 1,5-dicetonas. La primera parte es una cicloadición [2 + 2]. La consiguiente división de retroaldol se ve favorecida por la relativa inestabilidad del anillo de ciclobutano.

Una animación del mecanismo de reacción

Referencias

Este artículo ha sido escrito por Wikipedia. El texto está disponible bajo la licencia Creative Commons - Atribución - CompartirIgual. Pueden aplicarse cláusulas adicionales a los archivos multimedia.