Oxidación de Dess–Martin

La oxidación de Dess-Martin es una reacción orgánica para la oxidación de alcoholes primarios a aldehídos y alcoholes secundarios a cetonas usando triacetato de 3-oxo-1,3-dihidro-1λ5,2-benziodoxol-1,1,1-triilo (peryodinano de Dess-Martin).[1] Lleva el nombre de los químicos estadounidenses Daniel Benjamin Dess y James Cullen Martin que desarrollaron el reactivo periodinane en 1983.

La reacción utiliza un reactivo de yodo hipervalente similar al IBX para oxidar selectivamente y suavemente alcoholes a aldehídos o cetonas. La reacción se realiza comúnmente en solventes clorados como el diclorometano o el cloroformo. La reacción se puede hacer a temperatura ambiente y se completa rápidamente. Muchos otros grupos funcionales no se verán afectados por esta reacción.

La oxidación Dess-Martin puede ser preferible a otras reacciones de oxidación, ya que es muy leve, evita el uso de reactivos de cromo tóxicos, no requiere grandes excesos o cooxidantes, y por su facilidad de preparación.

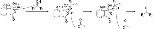
Dibujo químico de los mecanismos del Dess-Martin oxidación
La reacción produce dos equivalentes de ácido acético en la reacción. La reacción se puede tamponar con piridina o bicarbonato de sodio para proteger los compuestos lábiles al ácido.

Meyer y Schreiber han demostrado la aceleración de la reacción de oxidación de Dess-Martin usando agua.[2]

Referencias

  1. Dess, Daniel B.; Martin, James C. (1983). «Readily accessible 12-I-5 oxidant for the conversion of primary and secondary alcohols to aldehydes and ketones». J. Org. Chem. 48 (22): 4155-4156. doi:10.1021/jo00170a070.
  2. Meyer, Stephanie D.; Schreiber, Stuart L. (1994). «Acceleration of the Dess-Martin Oxidation by Water». J. Org. Chem. 59 (24): 7549-7552. doi:10.1021/jo00103a067.
Este artículo ha sido escrito por Wikipedia. El texto está disponible bajo la licencia Creative Commons - Atribución - CompartirIgual. Pueden aplicarse cláusulas adicionales a los archivos multimedia.