Lepidina
Las lepidinas son alcaloides imidazólicos aislados de las semillas del berro (Lepidium sativum) (Brassicaceae). Se han aislado 4 lepidinas y todos son dímeros de 3-(1H-imidazol-2-ilmetil)fenol.[1][2]

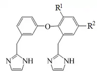
Lepidinas

Berro Lepidium sativum
Propiedades
Nombre | Derivado | Fórmula molecular | CAS | Masa molecular (g/mol) | Estado |
---|---|---|---|---|---|
Lepidina A | R1 = MeO; R2 = H | C21H20N4O2 | 100108-65-4 | 360.415 | Cristales (Diclorometano/Metanol) |
Lepidina B | R1 = H ; R2 = H | C20H18N4O2 | 220433-99-8 | 346.388 | Cristales amarillos (Diclorometano/metanol) PF = 212 - 214°C |
Lepidina C | R1 = H ; R2 = OMe | C21H20N4O2 | 220434-00-4 | 360.415 | Cristales amarillos (Diclorometano/Metanol) PF =194 - 195° |
Lepidina D | R1 = H ; R2 = OH | C20H18N4O2 | 220434-01-5 | 346.388 | Cristales amarillos (Diclorometano/Metanol) PF = 202 - 204°C |
Referencias
- Bahroun, A. et al., J. Soc. Chim. Tunis., 1985, 2, 15- 24
- Maier, U.H. et al., Phytochemistry, 1998, 49, 1791- 1795
Este artículo ha sido escrito por Wikipedia. El texto está disponible bajo la licencia Creative Commons - Atribución - CompartirIgual. Pueden aplicarse cláusulas adicionales a los archivos multimedia.