Leonurina
Leonurina es uno de los componentes químicos de la planta sudafricana Leonotis leonurus. Es un alcaloide levemente psicoactiva encontrado en las especies Leonotis nepetifolia, Leonurus japonicus, Leonurus cardiaca, así como en otras plantas de la familia Lamiaceae. La leonurina se extrae fácilmente en agua, así como a partir del aceite esencial de Leonurus sibiricus.[2]
Leonurina | ||
---|---|---|
![]() | ||
Nombre IUPAC | ||
4-Hydroxy-3,5-dimethoxybenzoic acid 4-guanidinobutyl ester | ||
General | ||
Fórmula estructural | Archivo:Leonurine Structural Formulae V.1.svg, Leonurine structure.png | |
Fórmula molecular |
C 14H 21N 3O 5 | |
Identificadores | ||
Número CAS | 24697-74-3[1] | |
ChEBI | 80843 | |
ChEMBL | CHEMBL1290284 | |
ChemSpider | 141828 | |
PubChem | 161464 | |
UNII | 09Q5W34QDA | |
KEGG | C16985 | |
O=C(OCCCC/N=C(\N)N)c1cc(OC)c(O)c(OC)c1
| ||
Propiedades físicas | ||
Masa molar | 311.33 g/mol | |
Valores en el SI y en condiciones estándar (25 ℃ y 1 atm), salvo que se indique lo contrario. | ||
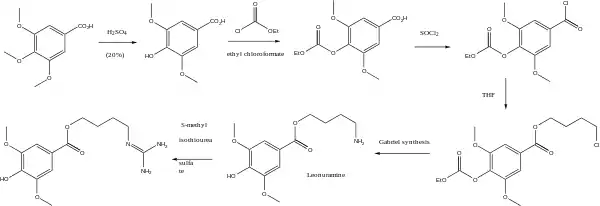
Síntesis química
- Trimetil ácido gálico ( Ácido eudesmico ) se escinde con ácido sulfúrico al 20%.
- El ácido siríngico está protegido con cloroformiato de etilo.
- El ácido 4-carboethoxysyringico se hace reaccionar con cloruro de tionilo SOCl2.
- El residuo se hace reaccionar con THF dando éster 4-cloro-1-butílico del ácido 4-carboethoxysyringico
- La síntesis de Gabriel (Potasio pthalimida ) seguido de hidrazinolisis ( procedimiento Ing-Manske ).
- El último paso es la reacción de la amina con sal de S-metilisotiourea hemisulfato,[3] yielding 4-Guanidina-1-butanol Syringate.

Leonurine synthesis.[2]
Usos tradicionales
Los usos principales incluyen el tratamiento de:
- Infecciones del tracto respiratorio causadas por Streptococcus pneumoniae y el grupo A-β hemolítico estreptococos.
- La otitis media debido a S. pneumoniae, Haemophilus influenzae, Moraxella catarrhalis, estafilococos, estreptococos, y N. catarrhalis.
- Infecciones GU (incluyendo prostatitis aguda) debido a especies de Escherichia coli, Proteus mirabilis o Klebsiella.
- Infecciones óseas causadas por P. mirabilis o estafilococos.
- Infecciones en la piel y debida a estructura de la piel estafilococos y estreptococos.
Referencias
- Número CAS
- «The Leonurine and its preparation». An Hui New Star Pharmaceutical Development Co. 2008. Archivado desde el original el 15 de mayo de 2008. Consultado el 28 de agosto de 2008.
- «S-Methylisothiourea sulfate structure.». ChemSpider (RSC). 2014. Consultado el 9 de julio de 2014.
Publicaciones
- Cheng KF, Yip CS, Yeung HW, Kong YC (mayo de 1979). «Leonurine, an improved synthesis». Experientia 35 (5): 571-2. PMID 446644. doi:10.1007/BF01960323.
Este artículo ha sido escrito por Wikipedia. El texto está disponible bajo la licencia Creative Commons - Atribución - CompartirIgual. Pueden aplicarse cláusulas adicionales a los archivos multimedia.