Histidina quinasa
Las histidina quinasas (HK por sus iniciales en inglés) son proteínas multifuncionales, típicamente transmembrana que actúan como transferasas de grupos fosfato. Desempeñan importantes papeles en la transducción de señales a lo largo de toda la membrana celular.[1]
proteína histidina quinasa | ||||
---|---|---|---|---|
![]() | ||||
Estructuras disponibles | ||||
PDB | ||||
Identificadores | ||||
Identificadores externos |
Bases de datos de enzimas
| |||
Número EC | 2.7.13.3 | |||
Número CAS | 99283-67-7 | |||
Ortólogos | ||||
Especies |
| |||
PubMed (Búsqueda) |
| |||
PMC (Búsqueda) |
| |||
La gran mayoría de las HKs son homodímeros que exhiben la propiedad de comportarse como autoquinasas, y actividad fosfatasa. Las HKs pueden actuar como receptores celulares para moléculas señalizadoras en una forma análoga a los receptores tirosina quinasas (RTK).
Las moléculas receptoras multifuncionales tales com las HKs y RTKs típicamente presentan porciones en el exterior de la célula (un dominio extracelular) que fija una hormona o moléculas similares a un factores de crecimiento; poseen un dominio transmembrana, y varias porciones dentro de la célula (dominios intracelulares) que contienen la actividad enzimática. En adición a la actividad quinasa, los dominios intracelulares poseen típicamente regiones que fijan a una segunda molécula efectora perteneciente a un complejo de moléculas que posteriormente propagan la señal transducida por el interior de la célula.
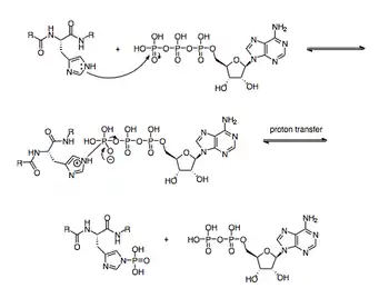
A diferencia de otras proteínas quinasas, las HKs forman parte de un mecanismo de transducción de señales de dos componentes. Como se describe con mayor detalle más abajo, las HK esencialmente transfieren un grupo fosfato desde el ATP a un residuo histidina de la propia quinasa, para luego transferir este grupo fosfato a un residuo aspartato en el dominio receptor de otra proteína (o a veces de la propia quinasa). Ese residuo de aspartil fosfato pasa entonces a encontrarse activado para señalización.
En términos enzimológicos, una histidina quinasa (EC 2.7.13.3, EnvZ, histidina protein quinasa, protein histidina quinasa, protein quinasa (histidina), HK1, HP165, Sln1p) es una enzima que cataliza la siguiente reacción química:
- ATP + protein L-histidina ADP + protein N-fosfo-L-histidina.
Por lo tanto, los dos sustratos de esta enzima son el ATP y una L-histidina perteneciente a una proteína, mientras que sus dos productos son ADP, y una proteína N-fosfo-L-histidinada.
Este tipo de enzimas se encuentra involucrada en las primeras vías de transducción de muchos procesos celulares, incluyendo varias vías metabólicas, de virulencia y homeostáticas.
Mecanismo

El mecanismo para las reacciones catalizadas por las histidina quinasas no ha sido completamente elucidado, pero la evidencia conocida hasta el momento sugiere que el dominio catalítico de una de las subunidades que forman el dímero, podría rotar de tal forma que la ranura de unión al ATP de esa unidad podría entrar en contacto con un residuo histidina particular en la subunidad opuesta y de la adición nucleofílica resultante surgiría la histidina fosforilada.[2]
Estructura y función
Una HK se compone de varios dominios proteicos, comenzando con una porción citoplasmática N-terminal pequeña, conectada a una porción extracelular receptora por medio de una hélice alfa transmembrana. Una segunda hélice alfa conecta el dominio extracelular con el dominio catalítico C-terminal intracelular.
Las HKs son conocidas por desempeñar diversos roles en muchas vías de señalización diferentes, por lo que no resulta sorprendente que el dominio receptor extracelular no se encuentre bien conservado en la familia HK. Por el contrario, los dominios intracelulares tienden a tener una alta homología de secuencia, y contienen varios motivos estructurales muy bien conocidos. Estos motivos incluyen las cajas H, N, G1, F y G2.[3] La caja H de autofosforilación se encuentra contenida en el dominio N-terminal, conocido como DHp por "dimerización y fosfotransferasa de histidina". En la forma crisatlizada de la enzima HK853-CD, de Thermotoga maritima, este dominio es helicoidal-tallo-bucle, y se encuentra formado por los residuos 232 a 317. El sitio de fosforilación de la histidina se encuentra localizado en His-260. Las cajas N, G1, F y G2 se encuentran contenidas dentro del dominio catalítico C-terminal que se une a ATP (dominio CA). Este dominio se encuentra formado por los residuos 323 a 489 y forma una estructura conocida como plegamiento sandwich α/β. Este particular plegamiento posee una capa formada por una lámina beta de cinco hebras, mientras que la otra capa se encuentra formada por tres hélices alfa.
La unidad dimérica se mantiene unida por medio de un empaquetado de cuatro hélices, formado cuando los segmentos C-terminales de las hélices α1 de cada subunidad interactúan en forma antiparalela con ambas hélices α2. La estabilidad del conjunto se ayuda por diversas interacciones a nivel de la interfase entre las regiones DHp de cada monómero. Entre estas se incluyen interacciones hidrofóbicas entre residuos hidrofóbicos bien conservados como así también por medio de dos enlaces de hidrógeno (Thr-252...Glu-316’ and Arg-263...Asn-307’) y un puente salino (Lys-270...Glu-303’). Las demás interacciones se encuentran mediadas por medio de enlaces hidrógeno con moléculas de agua dentro de la cavidad formada por el superenrrollamiento (coiled coil), y flanqueada por residuos hidrofóbicos.

La ranura de unión a nucleótidos/ATP se encuentra contenida dentro del dominio CA y la similitud estructural de esta ranura entre diferentes HK se encuentra altamente conservada. La ranura de la CheA, también cristalizada a partir de T. maritima, se encuentra formada primeramente por la lámina beta P4, en la parte posterior y los lados de la ranura se encuentran formados por los cuatro motivos antes mencionados, las cajas N, G1, F y G2.[4] La mayoría de los residuos presentes en la lámina beta son hidrofóbicos con la excepción de la Asp449. Este residuo es invariable, y forma un enlace hidrógeno entre una molécula de agua y el grupo amino de la adenina. Otras tres moléculas de agua forman enlaces hidrógeno directamente con la adenina. Un ion Mg2+
forma un puente entre los tres fosfatos y el residuo Asn invariable. Finalmente dos moléculas más de agua completan la coordinación octaédrica del Mg2+
y se encuentran unidas a Arg408 y His405. Cuando el fosfato gama del ATP se desestabiliza, el Mg2+
ya no se observa debido a su incapacidad para coordinarse octaédricamente. Marina y coordinadores argumentan que se produce una coordinación similar del Mg2+
en HK853, pero no ha podido ser observada debido a la utilización de un análogo del ATP (el AMPPNP) para la resolución de la estructura cristalina.[2] Durante el proceso de cristalización, el análogo resulta hidrolizado a un producto similar al ADP.
La última porción de la ranura de unión al ATP se llama convenientemente como párpado del ATP. La estabilidad de esta estructura se encuentra mediada por la presencia del fosfato gama y por lo tando del ion Mg2+
en el sitio de unión. Se ha demostrado también que la presencia de una base nucleotídica desempeña un papel significativo en la estabilización del párpado en la conformación "cerrada". El párpado del ATP se encuentra conectado por medio de residuos hidrofóbicos con el resto de la proteína. El grupo gama fosfato del ATP de alguna forma resulta expuesto para la desfosforilación.
Luego de que el ATP se une a la ranura, se cree que ocurre un cambio conformacional que permite la rotación del dominio CA para entrar en contacto con el dominio DHp del otro monómero permitiendo que la His260 altamente conservada entre en contacto con el grupo gama fosfato. Luego de esto el nitrógeno épsilon de la His-260 ataca el grupo fosfato en una reacción de adición nucleofílica expulsando al ADP como grupo saliente.
Papel en las infecciones fúngicas
Un sistema regulador de dos componentes, que involucra a una histidina quinasa y una proteína reguladora de respuesta variable, podría ser crítica en la virulencia de algunas cepas fúngicas tales como Candida albicans, la cual es responsable de causar candidiasis en pacientes inmunocomprometidos.[5] Las cepas de C. albicans con una deleción en el gen CHK1, el gen de la histidina quinasa perteneciente al sistema de dos componentes, muestran defectos en la morofogénesis y una drástica disminución en la capacidad de estas células para resistir la eliminación mediada por los neutrófilos humanos. Como los humanos carecen de este sistema de dos componentes, podría ser un buen blanco terapéutico para agentes antimicrobiales destinados a tratar las candidiasis.
Estudios estructurales
Hasta el año 2007, se habían resuelto 9 estructuras terciarias para esta clase de proteínas, con los siguientes códigos de acceso a PDB: 1P0Z, 2CMN, 2GJ3, 2HJE, 2J48, 2O9B, 2O9C, 2R78, y 2R8R.
Referencias
- Wolanin PW, Thomason PA, Stock JB (2002). «Histidine protein kinases: key signal transducers outside the animal kingdom». Genome Biology 3 (10): reviews3013.1-3013.8. PMC 244915. PMID 12372152. doi:10.1186/gb-2002-3-10-reviews3013.
- Marina A, Waldburger CD, Hendrickson WA (diciembre de 2005). «Structure of the entire cytoplasmic portion of a sensor histidine-kinase protein». EMBO J. 24 (24): 4247-59. PMC 1356327. PMID 16319927. doi:10.1038/sj.emboj.7600886.
- Parkinson JS, Kofoid EC (1992). «Communication modules in bacterial signaling proteins». Annu. Rev. Genet. 26: 71-112. PMID 1482126. doi:10.1146/annurev.ge.26.120192.000443.
- Bilwes AM, Quezada CM, Croal LR, Crane BR, Simon MI (abril de 2001). «Nucleotide binding by the histidine kinase CheA». Nat. Struct. Biol. 8 (4): 353-60. PMID 11276258. doi:10.1038/86243.
- Torosantucci A, Chiani P, De Bernardis F, Cassone A, Calera JA, Calderone R (febrero de 2002). «Deletion of the Two-Component Histidine Kinase Gene (CHK1) of Candida albicans Contributes to Enhanced Growth Inhibition and Killing by Human Neutrophils In Vitro». Infect. Immun. 70 (2): 985-7. PMC 127696. PMID 11796636. doi:10.1128/IAI.70.2.985-987.2002.
Lecturas adicionales
- Kowluru A (2002). «Identification and characterization of a novel protein histidine kinase in the islet beta cell: evidence for its regulation by mastoparan, an activator of G-proteins and insulin secretion». Biochem. Pharmacol. 63 (12): 2091-100. PMID 12110368. doi:10.1016/S0006-2952(02)01025-0.
- Yoshimi A, Tsuda M, Tanaka C (2004). «Cloning and characterization of the histidine kinase gene Dic1 from Cochliobolus heterostrophus that confers dicarboximide resistance and osmotic adaptation». Mol. Genet. Genomics. 271 (2): 228-36. PMID 14752661. doi:10.1007/s00438-003-0974-4.
- Beier D, Frank R (2000). «Molecular Characterization of Two-Component Systems of Helicobacter pylori». J. Bacteriol. 182 (8): 2068-76. PMC 111253. PMID 10735847. doi:10.1128/JB.182.8.2068-2076.2000.
- Pflock M, Dietz P, Schar J, Beier D (2004). «Genetic evidence for histidine kinase HP165 being an acid sensor of Helicobacter pylori». FEMS. Microbiol. Lett. 234 (1): 51-61. PMID 15109719. doi:10.1111/j.1574-6968.2004.tb09512.x.
- Roberts DL, Bennett DW, Forst SA (1994). «Identification of the site of phosphorylation on the osmosensor, EnvZ, of Escherichia coli». J. Biol. Chem. 269 (12): 8728-33. PMID 8132603.
- Alexandrine M. Bilwes,Lisa A. Alex, Brian R. Crane, Melvin I. Simon (1999). «Structure of CheA, a Signal-Transducing Histidine Kinase». Cell 96 (1): 131-41. PMID 9989504. doi:10.1016/S0092-8674(00)80966-6.
- Ryan L. Brunsing, Chandra La Clair, Sharon Tang, Christina Chiang, Lynn E. Hancock, Marta Perego, James A Hoch (2005). «Characterization of Sporulation Histidine Kinases of Bacillus anthracis». J. Bacteriol. 187 (20): 6972-81. PMC 1251614. PMID 16199567. doi:10.1128/JB.187.20.6972-6981.2005.
- Amr Eldakak, F. Marion Hulett (2007). «Cys303 in the Histidine Kinase PhoR Is Crucial for the Phosphotransfer Reaction in the PhoPR Two-Component System in Bacillus subtilis». J. Bacteriol. 189 (2): 410-21. PMC 1797398. PMID 17085571. doi:10.1128/JB.01205-06.
- Hirschman A, Boukhvalova M, VanBruggen R, Wolfe AJ, Stewart RC (noviembre de 2001). «Active site mutations in CheA, the signal-transducing protein kinase of the chemotaxis system in Escherichia coli». Biochemistry 40 (46): 13876-87. PMID 11705377. doi:10.1021/bi0113622.