Estreptolidigina
La Estreptoligidina es un antibiótico tipo nucleósido tetrámico relacionado con la tirandamicina A. Fue aislado de un cultivos de Streptomyces lydicus y Streptomyces neohygroscopicus afragilimyceticus. [α]25D = -93 (c, 1.6 en cloroformo); [α]25D = -65.7 (c, 2.28 en 0.005M NaOH). UV: [ácido]λmax240 (ε8000) ;357 (ε35500) ;370 (ε33700) ( EtOH/HCl) [básico]λmax262 (ε13600) ;291 (ε16400) ;335 (ε20000) (EtOH/NaOH).[4] La sal sódica tiene punto de fusión de 225 °C.
Estreptoligidina[1] | ||
---|---|---|
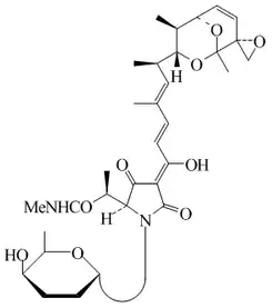
![]() | ||
General | ||
Otros nombres | Portamicina. Afragilimicina A. | |
Fórmula molecular | C32H44N2O9 | |
Identificadores | ||
Número CAS | 7229-50-7[2] | |
ChEBI | 45773 | |
ChEMBL | CHEMBL1236068 | |
ChemSpider | 16736035 | |
DrugBank | 04785 | |
PubChem | 54708748 | |
UNII | 6MON4029Q8 | |
InChI=InChI=1S/C32H44N2O9/c1-16(14-17(2)28-18(3)23-12-13-32(15-40-32)31(6,42-23)43-28)8-9-22(36)25-27(37)26(19(4)29(38)33-7)34(30(25)39)24-11-10-21(35)20(5)41-24/h8-9,12-14,17-21,23-24,26,28,35-36H,10-11,15H2,1-7H3,(H,33,38)/b9-8+,16-14+,25-22+/t17-,18+,19+,20+,21+,23-,24+,26+,28-,31-,32-/m1/s1
Key: KVTPRMVXYZKLIG-NCAOFHFGSA-N | ||
Propiedades físicas | ||
Apariencia | Cristales (Agua)[3] | |
Masa molar | 600.708 g/mol | |
Punto de fusión | 147 °C (420 K) | |
Valores en el SI y en condiciones estándar (25 ℃ y 1 atm), salvo que se indique lo contrario. | ||
Este antibiótico es activo contra bacterias Gram positivas. Actúa como inhibidor de la ARN-polimerasa causando terminación prematura de la transcripción.[5][6]
La biosíntesis fue elucidada por Pearce en 1983.[7]
Referencias
- Stevens, C.L. et al., JACS, 1964, 86, 3592- 3594
- Número CAS
- Duchamp, D.J. et al., JACS, 1973, 95, 4077- 4078
- Rinehart, K.L. et al., JACS, 1963, 85, 4035- 4037; 4037- 4038; 1963, 85, 4038- 4039
- Von Meyenburg, K. et al., Antimicrob. Agents Chemother., 1978, 13, 234- 243
- McClure, W.R.J. Biol. Chem., 1980, 255, 1610- 1616
- Pearce, C.J. et al., J. Antibiot., 1983, 36, 1536- 1538
Este artículo ha sido escrito por Wikipedia. El texto está disponible bajo la licencia Creative Commons - Atribución - CompartirIgual. Pueden aplicarse cláusulas adicionales a los archivos multimedia.