Degradación de Barbier-Wieland
La Degradación de Barbier-Wieland es un método de síntesis orgánica en donde se obtiene la reducción de la cadena de un ácido carboxílico a su homólogo menor.

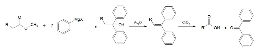
El método consiste en tres reacciones independientes consecutivas:
- Partiendo de un éster del ácido que se desea homologar (Véase esterificación) se le hace reaccionar con el reactivo de Grignard de un halobenceno. El producto es un alcohol 1,1 difenílico.
- El alcohol sufre una reacción de eliminación con anhídrido acético. El hidroxilo del alcohol se acila y así, el grupo acetiloxi funciona como grupo saliente. Cabe mencionar que la conjugación de la doble ligadura con los anillos aromáticos favorece la eliminación del grupo acetiloxi.
- Se lleva a cabo una escisión oxidativa con óxido de cromo (VI), dando así el ácido carboxílico deseado y benzofenona como subproducto.[1]
Otro oxidante muy común puede ser una mezcla de peryodato de sodio con tetróxido de rutenio.[2]
Véase también
- Transposición de Curtius
- Homologación de ésteres de Kowalski
- Transposición de Lossen
- Reacción de Nierenstein
- Reacción de Arndt-Eistert
Referencias
- H. Wieland (1912). Chemische Berichte 45: 484.
- Jerry March (2007). Advanced Organic Chemistry: Reactions, Mechanisms And Structure 6th Edition. New Jersey, US: Wiley. ISBN 978-0-471-72091-1.
Este artículo ha sido escrito por Wikipedia. El texto está disponible bajo la licencia Creative Commons - Atribución - CompartirIgual. Pueden aplicarse cláusulas adicionales a los archivos multimedia.