Cimetidina
La cimetidina es un fármaco empleado en la cura de la úlcera duodenal o de la úlcera de estómago. La cimetidina fue el primer fármaco para tratar estas úlceras, por lo que supuso una revolución en el mundo de la farmacología, ya que los antiácidos existentes hasta entonces solo funcionaban a modo neutralizante, disminuyendo la acidez en el estómago del paciente. La otra opción existente era la cirugía. Por ese motivo se redujo significativamente el número de vagotomías (disección de los nervios “vagos” del estómago), que eliminaba la producción de ácido. La otra operación era la antrectomía, en la que se cortaba un trozo del estómago.
Cimetidina | ||
---|---|---|
![]() | ||
Nombre (IUPAC) sistemático | ||
Nombre IUPAC 1-ciano-2-metil-3- [2 - [(5-metil-1H-imidazol-4-il) metilsulfanil] etil] guanidina
| ||
Identificadores | ||
Número CAS | &Units=SI 51481-61-9 | |
Código ATC | A02BA01 | |
Código ATCvet | No adjudicado | |
PubChem | 2756 | |
PubChemSID | 7847361 | |
DrugBank | DB00501 | |
Datos químicos | ||
Fórmula | C10H16N6S | |
Peso mol. | 252.34 g/mol | |
Datos clínicos | ||
Estado legal | Grupo IV (Medicamentos expedidos mediante receta médica, autorizados para su venta exclusivamente en farmacias.) (MEX) Descontinuado | |
![]() | ||
Modo de acción
La cimetidina aparte de ser el primer medicamento para las úlceras, también fue uno de los primeros fármacos de diseño. Esto significaba que en vez de estar probando con animales infinidad de sustancias hasta dar con una que reaccionase del modo esperado, se realizó una investigación por el método inductivo. Los investigadores se preguntaron:
- -¿Por qué son producidas las úlceras?
- -Por la acidez.
- -¿Y por qué es producida la acidez?
- -Por la hormona histamina.
Y entonces investigando sobre la histamina se descubrió cómo actuaba. Ésta se acoplaba a los receptores H2 localizados en las células de la pared estomacal, y al juntarse producían el ácido. Entonces se desarrolló la cimetidina, de apariencia similar a la histamina, para engañar a los receptores H2 haciéndolos creer que la cimetidina es histamina, y al acoplarse la cimetidina en lugar de la hormona, ésta bloquea los receptores H2, y al reducirse la unión entre histamina y H2 se reduce la producción de ácido. Al final la úlcera se acaba curando en un período de 4 a 6 semanas.
Enfermedades con las que se usa
- Con úlceras de estómago y duodeno y en la prevención de sus recaídas
- Alteraciones debidas a la excesiva producción de ácido por el estómago, como la enfermedad de Zollinger-Ellison.
- Reflujo gastroesofágico
- Acidez de estómago
- Como único recurso para retrasar el crecimiento del melanoma del caballo.
La cimetidina también se usa para tratar las úlceras provocadas por el estrés, las urticarias y el prurito (picazón), las verrugas víricas y para prevenir la neumonía de aspiración durante la anestesia.
Descubridor de la cimetidina
James Whyte Black fue un importante farmacólogo escocés que recibió el premio Nobel de Medicina en 1988 por el descubrimiento de dos fármacos de gran importancia: el propranolol y la cimetidina. El propranolol fue el primer medicamento de diseño, creado por él en los laboratorios farmacéuticos ICI. Es un tipo de beta bloqueante, es decir, que bloquea los receptores adrenérgicos beta, productores de la hipertensión. Este medicamento salió al mercado en 1964.
En 1964 James Black fue a los laboratorios farmacéuticos de Smith Kline & French y allí, en Wellwin Garden, al norte de Londres, dirigió el equipo de investigación de la cimetidina. En 1976 se iniciaron los experimentos y en 1978/79 se lanzó al mercado la cimetidina bajo la marca comercial “Tagamet”.
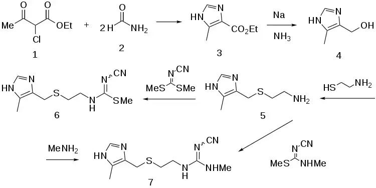
Síntesis

Efectos secundarios
Produce metabolitos carcinogénicos por lo que se ha discontinuado su uso en varios países.[cita requerida]
Son muy modestos, y se dan en muy pocos casos. Hay diversos efectos secundarios, algunos más leves que otros:
- Cefalea (dolor de cabeza)
- Diarrea
- Mareos
- Somnolencia (sueño)
- Ginecomastia (aumento de volumen de las glándulas mamarias)
Los siguientes síntomas son muy poco comunes, pero de mayor gravedad:
- Confusión
- Excitación
- Depresión
- Nerviosismo
- Alucinaciones
Sin duda el efecto adverso más relevante es la producción de ginecomastia en los hombres y galactorrea en las mujeres por afección del citocromo p450
Dosis
En España existen formas comercializadas de administración orales (comprimidos y sobres) y parenterales (intravenosa). La forma de empleo más habitual es la oral.
Dosis oral en adultos y adolescentes
- Úlcera de estómago y duodeno: 400 mg por la mañana y 400 mg al acostarse o 800 mg al acostarse. Duración del tratamiento: de 4 a 8 semanas.
- Acidez de estómago: 200 mg al iniciarse las molestias. No sobrepasar los 400 mg/día.
- Síndrome de Zollinger-Ellison: máximo de 2 g/día en 5 tomas de 400 mg.
Dosis oral en niños
- De 20 a 40 mg por kg de peso al día.
Marcas comerciales
Aliveg: fármaco desarrollado también con Smith Kline & French. Está basado en la cimetidina solo que en diferentes proporciones el principio activo (cimetidina) y el excipiente (bicarbonato sódico). Fue ideado e introducido al mercado en España por Nicolás Villén —en aquel momento vicepresidente internacional del laboratorio—. Es para molestias menores, y se usan 200 mg al día.
Tagamet: marca comercial de la cimetidina, el nombre fue ideado por el laboratorio descubridor (Smith Kline & French).
Existen productos en el mercado comercializados en España con otros nombres, ya que en España, a diferencia de otros países, la legislación permite la comercialización de productos genéricos utilizando la DCI (Denominación Común Internacional) de la sustancia, por laboratorios que no son el titular de la patente.
Bibliografía
- https://web.archive.org/web/20070928082916/http://www.cun.es/areadesalud/medicamentos/aparato-digestivo/antiulcerosos/antihistaminicos-h2/cimetidina/
- http://www.nlm.nih.gov/medlineplus/spanish/druginfo/medmaster/a682256-es.html
- http://www.todayinsci.com/6/6_14.htm#BlackJames
Libros relacionados con el trabajo
- Vademécum, 32ª ed. España: Medicom, 1990.
- RAKEL, Robert E. Conn terapéutica, ed. Española, Madrid: editorial médica Panamericana, 1985. Título original: Conn´s current therapy 1984, London.