Canadalina
La (S)-canadalina es un alcaloide benciltetrahidroisoquinolínico aislado de Hydrastis canadensis[2] [α]D = +43 (c, 0.5 en cloroformo); UV: [neutral]λmax288 (log ε4.89) (MeOH).
(S)-Canadalina | ||
---|---|---|
![]() | ||
Nombre IUPAC | ||
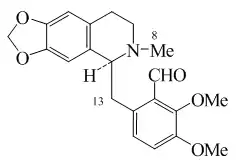
2,3-Dimetoxi-6-{[(5S)-6-metil-5,6,7,8-tetrahidro[1,3]dioxolo[4,5-g]isoquinolin-5-il]metil}benzaldehído | ||
General | ||
Fórmula molecular | C21H23NO5 | |
Identificadores | ||
Número CAS | 52801-27-1[1] | |
Propiedades físicas | ||
Masa molar | 369.416 g/mol | |
Punto de fusión | 117,5 °C (391 K) | |
Valores en el SI y en condiciones estándar (25 ℃ y 1 atm), salvo que se indique lo contrario. | ||
Derivados
La forma R ha sido aislada de los bulbos de Corydalis cava;[α]28D = -37.5 (c, 1.8 en cloroformo); UV: [neutral]λmax294 (log ε3.78) (cloroformo).
Nombre | Estructura | Fórmula molecular | CAS | Masa molecular | Estado | Fuente natural | Otras propiedades |
---|---|---|---|---|---|---|---|
Argenaxina | ![]() |
C20H23NO5 | 88114-59-4 | 357.405 | Sólido en prismas; PF = 157 ºC | Aislado de las partes aéreas de Argemone mexicana[3] | [α]24D = +95 (c, 0.34 en cloroformo); UV:[neutral]λmax225 (log ε4.14) ;285 (log ε3.38) (MeOH) |
Ácido canadínico | ![]() |
C21H23NO6 | 190720-13-9 | 385.416 | Cristales (AcOEt) PF = 131° C | Aislado de Hydrastis canadensis[4] | [α]20D = -112 (c, 0.1 en MeOH); UV: [neutral]λmax235 (log ε4.14) ;289 (log ε3.81) (EtOH) |
Berbervirina | ![]() |
C21H21NO7 | 167817-66-5 | 399.399 | Agujas color rosa (CHCl3/MeOH) PF = 203ºC | Aislado de Berberis virgetorum[5] | [α]D = -200 (c, 1.625 en CHCl3); UV: [neutral]λmax226 (log ε4.39) ;262 (log ε3.82) ;288 (log ε3.9) ;331 (log ε3.35) (MeOH) [neutral]λmax230 (log ε4.21) ;250 (log ε4.36) ;295 (log ε1.4) ;333 (log ε1.03) ( MeOH) |
Referencias
- Número CAS
- Meyer, A. et al., Phytochem. Lett., 2008, 1, 168- 170
- Chang, Y.-C. et al., Z. Naturforsch., C, 2003, 58, 521- 526
- Galeffi, C. et al., Planta Med., 1997, 63, 194
- Liu, C. et al., J. Nat. Prod., 1995, 58, 1100- 1102
Este artículo ha sido escrito por Wikipedia. El texto está disponible bajo la licencia Creative Commons - Atribución - CompartirIgual. Pueden aplicarse cláusulas adicionales a los archivos multimedia.