Brazilina
La brazilina es un pigmento rojo obtenido de la madera del palo de Brasil (Caesalpinia sp), y también se conoce como Rojo Natural 24. La brazilina se ha utilizado al menos desde la Edad Media como tinte para textiles, y se ha utilizado también para fabricar pinturas y tinta. El color específico producido por el pigmento depende de su modo de preparación: en una solución ácida la brazilina tendrá un color amarillo, pero en una preparación alcalina adquiere color rojo. La brazilina está estrechamente relacionada con el colorante azul-negro hematoxilina, que tiene un grupo hidroxilo menos. La brazileína es el nombre para el pigmento oxidado.[3]
Brazilina | ||
---|---|---|
![]() | ||
Nombre IUPAC | ||
(6aS,11bR)-7,11b-Dihidro-6H-indeno[2,1-c]cromeno-3,6a,9,10-tetrol | ||
General | ||
Fórmula estructural |
![]() | |
Fórmula molecular | C16H14 O 5 | |
Identificadores | ||
Número CAS | 474-07-7[1][2] | |
ChEBI | 3170 | |
ChEMBL | CHEMBL598951 | |
ChemSpider | 66104 | |
PubChem | 73384 | |
UNII | FZ39SW1K10 | |
KEGG | C09920 | |
Propiedades físicas | ||
Apariencia | Polvo rojo | |
Masa molar | 286.28 g/mol | |
Punto de fusión | 156 °C (429 K) | |
Valores en el SI y en condiciones estándar (25 ℃ y 1 atm), salvo que se indique lo contrario. | ||
Farmacognosia
La brazilina es conocida por inhibir la telomerasa. A una concentración menor de 100 micromoles y elimina a las células cancerosas in vitro. Ya que los efectos secundarios potenciales pueden ser bajos en comparación con la actividad sobre células cancerosas, los análogos de la brazilina son estudiados como alternativas en quimioterapia.
Fuentes de brazilina
Muchos miembros del género Caesalpinia producen brazilina, incluyendo C. echinata y C. sappan. Existe muchas maneras de obtener brazilina de fuentes naturales. Un método común desarrollado en la Edad Media, consiste en pulverizar la madera del árbol, y posteriormente se macera en sosa o potasa para obtener así un extracto color púrpura rojizo. Una solución de alumbre caliente se emplea para precipìtar el colorante. El colorante crudo puede ser secado y pulverizado. Como los demás pigmentos, el color depende del pH de la mezcla y el fijador utilizado. Los mordientes de aluminio producen colores rojo estándar, mientras que los de estaño, por ejemplo el SnCl2 producen colores rosados.
Una preparación alternativa que produce un color rojo transparente consiste en remojar el polvo de palo de Brasil en clara de huevo o una solución de goma arábiga.El alumbre se añade para ayudar a desarrollar y fijar el color, que luego se puede utilizar como una tinta transparente o pintura.
Como con hematoxilina, la brazilina se puede utilizar para la tinción de núcleos de células en las preparaciones histológicas cuando se combina con el aluminio. Los núcleos son entonces de color rojo en lugar de azul.[4][5]
Biosíntesis
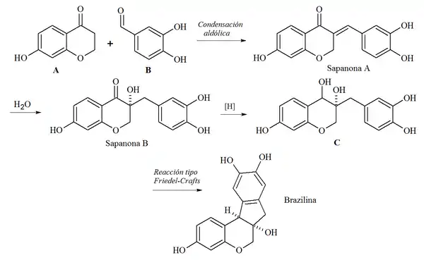
Se ha propuesto que la brazilina puede provenir del homoisoflavonoide sapanona A (A), la cual es producida por una condensación de la cromanona formada y el arilaldehído. La hidratación de la sapanona A da la sapanona B. Posteriormente se propone una oxidación y una reducción con una ciclización electrofílica subsecuente para formar el ciclo.

Síntesis
Huang y colaboradores propusieron la síntesis de la brasilina a partir de 1-diazo-3-(3-hidroxyfenil)propan-2-ona. La síntesis en resumen consta de los siguientes pasos:[6]
- a) Protección del fenol con cloruro de metoximetilo (MOMCl) en medio básico y yoduro de tetrabutilamonio en medio básico (Carbonato de potasio)
- b) Ciclización electrofílica por medio de un catalizador de rodio.
- c) Acoplamiento con un (m-benciloxifenil)oximetil estannano para formar 2-[(3-benciloxifenoxi)metil]-5-(metoximetoxi)-2,3-dihidro-1H-inden-2-ol
- d) Desprotección del fenol con ácido clorhídrico concentrado.
- e) Oxidación de Dess-Martin para formar la quinona.
- f) Desprotonación para formar una doble ligadura del indano por medio de una base (diisopropil etilamina)
- g) Ciclización electrofílica con yoduro de litio.
- h) Eliminación del grupo bencilo.

Referencias
- The Merck Index, 12th Edition. 1392
- Número CAS
- De Oliveira Luiz F.C.; Edwards Howell G.M.; Velozo Eudes S.; Nesbitt M. Vibrational spectroscopic study of brazilin and brazilein, the main constituents of brazilwood from Brazil (2002) Vibrational Spectroscopy v.28(2): 243}}
- Thompson, Daniel V. The Materials and Techniques of Medieval Painting, Dover Publications, Inc. New York, NY. 1956.
- Wayne , Armstrong. Natural dyes. Herbal Gram (1994) v.32:30
- Yaodong Huang. Synthesis of Brazilin and the Core of an Ornate Scyphostatin Analog. (2007) ProQuest, University of California, Santa Barbara. Chemistry. pp.1-15
Enlaces
- StainsFile Brazilin and Brazilein
- Logwood and Brazilwood at Wayne's Word Archivado el 6 de agosto de 2011 en Wayback Machine.