Azul de bromotimol
El azul de bromotimol (BTB, a partir de su nombre en idioma inglés bromothymol blue) es un indicador de pH que en solución ácida presenta un color amarillo, en solución básica presenta un azul y en solución neutra presenta un color verde.
Azul de bromotimol | ||
---|---|---|
General | ||
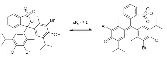
Fórmula estructural |
![]() | |
Fórmula molecular | C27H28Br2O5S | |
Identificadores | ||
Número CAS | 76-59-5[1] | |
ChEBI | 86155 | |
ChEMBL | CHEMBL3392578 | |
ChemSpider | 6208 | |
PubChem | 6450 | |
UNII | VGU4LM0H96 | |
CC1=C(C(=C(C=C1C2(C3=CC=CC=C3S(=O)(=O)O2)C4=CC(=C(C(=C4C)Br)O)C(C)C)C(C)C)O)Br
| ||
Propiedades físicas | ||
Masa molar | 624 g/mol | |
Propiedades químicas | ||
Acidez | 7,10 pKa | |
Compuestos relacionados | ||
El azul de bromotimol actúa como un ácido débil en solución. Por lo tanto puede presentarse en su forma protonada o deprotonada, amarilla y azul, respectivamente.
Normalmente, se vende en forma de sólido como sal de sodio del indicador ácido.
Su pKa es 7.10.
Es levemente soluble en agua, soluble en alcohol y en soluciones acuosas de bases. También es soluble en éter etílico. Es menos soluble en benceno, tolueno yxileno. Praticamente insoluble en éter de petróleo.
Usos
Es un indicador adecuado para determinaciones de ácidos y bases débiles, preferentemente en pH próximo de 7.
Una de sus aplicaciones típicas como indicador es la determinación de pH de acuarios, tanques de peces y aguas de criaderos y de mares.
También se usa para la observación de actividad fotosintéticas o para indicar respiración, pues se vuelve amarillo en presencia de CO2, así como también en presencia de ácido carbónico disuelto en agua, oriundo da disolución del CO2.[2][3]
Ocasionalmente también se emplea en laboratorios como un colorante biológico para microscopía en láminas. En este uso es normalmente azul, y una gota o dos de su solución son usadas en una lámina con agua. La laminula es colocada sobre la parte superior de la gota de agua y el espécimen, con el colorante mezclado. Es algunas veces usado para definir paredes celulares o núcleos sobre el microscopio.
Esta aplicación como colorante microscopio encuentra uso en la determinación de fosfatidilcolina en líquido amniótico con la predicción de la síndrome de angustia respiratoria.[4]
Es usado en obstetricia para la detección de rompimiento prematuro de membranas. El líquido amniótico generalmente tiene un pH> 7,2 , por lo tanto el azul de bromotimol, se vuelve azul cuando entra en contacto con la fuga de fluido a partir del amnio. Como el pH vaginal normalmente es ácido, su color azul indica a presencia de líquido amniótico. El ensayo puede ser falso-positivo en presencia de otras sustancias alcalinas, tales como sangre, semen, o en presencia de vaginosis bacteriana.[5]
La razón de área de esfingomielina, determinada con la ayuda del azul de bromotimol permite la determinación de lecitina en líquido amniótico, relacionada con gestaciones complicadas por la diabetes.[6]
Colores del indicador


Azul de bromotimol (indicador de pH) | ||
pH por debajo de 6.6 listo | pH por encima de 7.6 | |
amarillo | ⇌ | azul |
Preparación de la solución del indicador
Solución acuosa a 0,4%
Esta solución es de la sal sódica del indicador para uso en titulaciones y determinación colorimétrica de pH.
Se tritura en un vaso mortero limpio 0,4 g del indicador con 6,4 ml de solución de hidróxido de sodio a 0,1 M (4 g por litro). Se diluye esta mezcla en 1 litro con agua desionizada o destilada.[7]
Otras formulaciones recomendadas incluyen disolución de 0,10 g en 8,0 mL de NaOH N/50 (0,8 g por litro) y dilución con agua a 250 mL, para uso como indicador de pH, y solución para uso como indicador en trabajo volumétrico, disolviendo 0,1 g en 100 mL de etanol 50% (v/v).[8]
Referencias
- Número CAS
- Sabnis R. W. (2007). Handbook of Acid-Base Indicators. CRC Press. ISBN 0849382181.
- Sabnis R. W. (2010). Handbook of Biological Dyes and Stains: Synthesis and Industrial Applications (en inglés) (1st edición). Wiley. ISBN 0470407530.
- John Torday, Ph.D., Linda Carson, B.S., and Edward E. Lawson, M.D.; Saturated Phosphatidylcholine in Amniotic Fluid and Prediction of the Respiratory-Distress Syndrome; N Engl J Med 1979; 301:1013-1018.
- B. Martinez de Tejada, M. Boulvain, P. Dumps, P. Bischof, A. Meisser, O. Irion; Short communication: Can we improve the diagnosis of rupture of membranes? The value of insulin-like growth factor binding protein-1; BJOG: An International Journal of Obstetrics & Gynaecology, Volumen 113, Issue 9, páginas 1096–1099, Setiembre 2006 - DOI: 10.1111/j.1471-0528.2006.01028.x
- C. R. Whitfield, W. B. Sproule, M. Brudenell; THE AMNIOTIC FLUID LECITHIN : SPHINGOMYELIN AREA RATIO (LSAR) IN PREGNANCIES COMPLICATED BY DIABETES; BJOG: An International Journal of Obstetrics & Gynaecology, Volume 80, Issue 10, pages 918–922, October 1973 - DOI: 10.1111/j.1471-0528.1973.tb02152.x
- Mendham, J.; Denney, R.C.; Barnes, J.D. & Thomas, M.J.K. - Vogel: Análise Química Quantitativa. 4a. edición (Traduzido por Aïda Espinola, COPPE - UFRJ), Rio de Janeiro, Guanabara Dois (1981), 690pp
- O'Neil, Maryadele J (2006). The Merck Index (en inglés). Merck Research Laboratory. p. 1445. ISBN 978-0-911910-00-1.
Véase también
- Azul de tornasol
Enlaces externos
- J.T.Baker MSDS (en inglés)
- Bromothymol Blue (Sodium Salt) -Sigma Aldrich (en inglés)
Portal:Química. Contenido relacionado con Química.