Albomicina
Las albomicinas son un grupo de antibióticos naturales que pertenece a la clase de sideromicinas, grupo de antibióticos ligados a sideróforos (portadores de hierro) por enlaces covalentes, y que son particularmente eficaces contra bacterias gramnegativas de la familia enterobacteriaceae y algunas bacterias gram-positivas como Streptococcus pneumoniae, Bacillus subtilis y Staphylococcus aureus.[1][2][3][4]

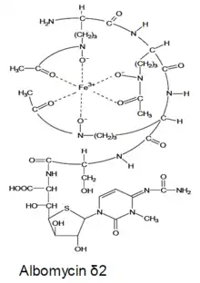
Estructura de la albomicina
La albomicina es una sideromicina[5] producida naturalmente por algunos estreptomicetos. La parte siderófica de la albomicina δ es similar al ferricromo. Contiene tres moléculas de δ-N-hydroxy-δ-N-acetyl ornitina vinculadas a una serina, todas ellas por enlace peptídico. El C-terminal de la serina está ligado a otra serina unida a la fracción 4'-thio (N4-carbamoil-3-metil) citidina antibióticamente activa. La parte de trihidroxamato sirve a la función de sideróforo ya que puede atrapar Fe+3 y es esencial para el transporte activo del antibiótico. Albomicina sin hierro δ tiene un peso molecular de 992 Da, y cuando se carga con hierro es 1045 Da. [6][7][5]
Historia de las albomicinas
Descubrimiento en 1947 en la URSS
Las albomicinas fueron aisladas en 1947 en la URSS, poco después de la Segunda Guerra Mundial siendo utilizadas para tratar infecciones bacterianas en la Unión Soviética. En el año 1955 el biólogo ruso Georgii Frantsevich Gause comprobó su especial efectividad contra neumonías en niños y en numerosas complicaciones relacionadas con la disentería y el sarampión. La albomicina se aisló a partir de otras bacterias del suelo, las Streptomyces griseus.[8][1]
Mecanismos de acción
En 1999 Volkmar Braun, de la Universidad de Tubinga, Alemania, publica el artículo "El transporte activo de antibióticos por la membrana exterior de bacterias Gram-negativas y sus implicaciones en el desarrollo de nuevos antibióticos".[6]
En el año 2000, un grupo de científicos de la farmacéutica SmithKline Beecham del Reino Unido, informó que la parte antibiótica de la albomicina in vitro puede inhibir la seril t-RNA sintetasa tanto de representantes eucariotas como procariotas[9]
En 2009 Volkmar Braun publica Sideromicinas: herramientas y antibióticos donde expone la eficacia de la albomicina y su utilidad si se consigue aislar en cantidades suficientes de estreptomicetos o sintetizar químicamente.[5]
Síntesis de albomicina delta 2 (δ2) en China - 2018
En 2018 el grupo de investigación bioquímica, de la Universidad de Chongquing (Chongqing), en el interior de China, dirigido por Yun He ha logrado sintetizar en laboratorio una de estas albomicinas, la albomicina δ2 o albomicina delta dos. Este antibiótico de origen natural es muy complejo químicamente y de tamaño enorme lo que ha dificultado siempre trabajar con estas moléculas. Según el microbiólogo Domingo Gargallo-Viola, presidente de la Asociación para el Descubrimiento de Nuevos Antibióticos en España “la albomicina δ2 es muy grande y han conseguido sintetizarla. Eso en sí ya es un hito, porque podrán intentar introducir cambios para mejorar sus características antibióticas”.[1][4]
Superbacterias, albomicina y necesidad de nuevos antibióticos
La resistencia de grupos bacterianos a los antibióticos existentes ha llevado a la Organización Mundial de la Salud a alertar de la urgente necesidad de nuevos antibióticos que puedan ser eficaces. Actualmente existen unas 12 familias de supermicrobios muy peligrosos para el ser humano (como el Streptococcus pneumoniae, el Staphylococcus aureus, etc.). La albomicina delta 2, según el equipo de investigación dirigido por Yun He es eficaz contra estas cepas bacterianas aisladas de pacientes reales de hospitales chinos resultando 16 veces más eficaz que el antibiótico ciprofloxacino contra una virulenta cepa de Staphylococcus aureus resistente a meticilina, una bacteria que puede provocar infecciones muy graves en personas con cáncer o sometidas a diálisis renal.[1][4]
Entre la necesidad de antibióticos muy resistentes están o de prioridad crítica están el Acinetobacter baumannii, la Pseudomona aeruginosa y la Enterobacteriaceae, todas resistentes a los carbapenémicos.[10]
Véase también
Enlaces externos
- Total synthesis and antimicrobial evaluation of natural albomycins against clinical pathogens, Zihua Lin, Xiaobo Xu, Sheng Zhao, Xiaohong Yang, Jian Guo, Qun Zhang, Chunmei Jing, Shawn Chen & Yun He. Nature Communications, Volume 9, Article number: 3445 (2018).
- Un antibiótico utilizado en la Unión Soviética es la nueva esperanza contra las superbacterias. Científicos chinos logran sintetizar en el laboratorio un complejísimo antimicrobiano producido de manera natural por una bacteria del suelo, El País, 4 de septiembre de 2018.
- Transporte activo de antibióticos a través de la membrana externa de bacterias Gram-negativas y sus implicaciones en el desarrollo de nuevos antibióticos, Volkmar Braun, Universität Tübingen.
- Bacterial solutions to the iron-supply problem, Volkmar Braun and Helmut Killmann, TIBS 24, March, 1999.
Referencias
- Un antibiótico utilizado en la Unión Soviética es la nueva esperanza contra las superbacterias. Científicos chinos logran sintetizar en el laboratorio un complejísimo antimicrobiano producido de manera natural por una bacteria del suelo, El País, 4 de septiembre de 2018.
- «Albomycin is an effective antibiotic, as exemplified with Yersinia enterocolitica and Streptococcus pneumoniae». International Journal of Medical Microbiology 297 (6): 459-469. October 2007. doi:10.1016/j.ijmm.2007.03.002.
- «Albomycin Uptake via a Ferric Hydroxamate Transport System of Streptococcus pneumoniae R6». Journal of Bacteriology 188 (11): 3878-3886. June 2006. PMC 1482914. doi:10.1128/jb.00205-06.
- Total synthesis and antimicrobial evaluation of natural albomycins against clinical pathogens, Zihua Lin, Xiaobo Xu, Sheng Zhao, Xiaohong Yang, Jian Guo, Qun Zhang, Chunmei Jing, Shawn Chen & Yun He. Nature Communications, Volume 9, Article number: 3445 (2018).
- Sideromycins: tools and antibiotics, Volkmar Braun, Avijit Pramanik, Thomas Gwinner, Martin Köberle, Erwin Bohn, 07 January 2009, Springer Verlag
- Transporte activo de antibióticos a través de la membrana externa de bacterias Gram-negativas y sus implicaciones en el desarrollo de nuevos antibióticos, Volkmar Braun, Universität Tübingen.
- «Uptake and Conversion of the Antibiotic Albomycin by Escherichia coli K-12». European Journal of Biochemistry 99 (3): 517-524. September 1979. doi:10.1111/j.1432-1033.1979.tb13283.x.
- Recent Studies on Albmoycin, A new antibiotic, G.F. Gause, D.Biol.Sc.Deputty Director, Institute for Antibiotic Research of tile Acadenry of Medical Sciences of the U.S.S.R., Moscow, British Medical Journal, Nov 12, 1955, 1177-1179
- «A Potent Seryl tRNA Synthetase Inhibitor SB-217452 Isolated from a Streptomyces species». The Journal of Antibiotics 53 (12): 1346-1353. June 2000. doi:10.7164/antibiotics.53.1346.
- La OMS anuncia las 12 familias de bacterias más peligrosas para el ser humano, El País, 2 de febrero de 2017