Acrimarina
Las acrimarinas son alcaloides aislados de las raíces de Citrus funadoko (Rutaceae). La acrimarina A fue aislada por Furukawa en 1990.[1][2][3][4]
Nombre | Estructura | Fórmula molecular | CAS | Masa molecular (g/mol) | Estado | Otras propiedades |
---|---|---|---|---|---|---|
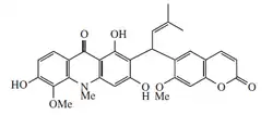
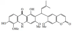
Acrimarina A | ![]() |
C31H29NO8 | 119152-47-5 | 543.572 | Aceite amarillo pálido | [α]D = -9.76 (c, 0.082 en cloroformo) |
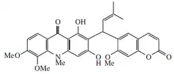
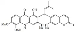
Acrimarina B | ![]() |
C31H29NO8 | 119152-48-6 | 543.572 | Prismas amarillos (Acetona) PF = 288 - 290°C | [α]D = -7.14 (c, 0.056 en cloroformo) |
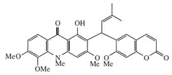
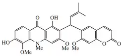
Acrimarina C | ![]() |
C30H27NO8 | 119206-24-5 | 529.545 | Aceite amarillo | [α]D = -6.17 (c, 0.081 en cloroformo) |
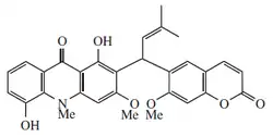
Acrimarina D | ![]() |
C31H29NO8 | 129722-87-8 | 543.572 | Aceite amarillo | [α]D = -3 (c, 0.103 en cloroformo) |
Acrimarina E | ![]() |
C30H27NO8 | 129722-88-9 | 529.545 | Prismas amarillo pálido. PF = 274 - 276°C | [α]D = +20.1 (c, 0.05 en acetona) |
Acrimarina F | ![]() |
C31H29NO8 | 129722-89-0 | 543.572 | Polvo amarillo pálido | |
Acrimarina G | ![]() |
C29H25NO7 | 129722-97-0 | 499.519 | Aceite amarillo | [α]D = +8 (c, 0.075 en cloroformo) |
Acrimarina H | ![]() |
C30H27NO7 | 132185-44-5 | 513.546 | Aceite amarillo | [α]D = 0 (Acetona) |
Acrimarina I | ![]() |
C31H29NO8 | ||||
Acrimarina J | ![]() |
C31H29NO8 | ||||
Acrimarina K | ![]() |
C31H29NO8 | ||||
Acrimarina L | ![]() |
C31H29NO8 | ||||
Acrimarina M | ![]() |
C31H29NO8 | ||||
Acrimarina N | ![]() |
C31H29NO8 | ||||
Referencias
- Furukawa, H. et al., JCS Perkin 1, 1990, 1593
- Ito, C. et al., Chem. Pharm. Bull., 1990, 38, 2586
- Takemura, Y. et al., Heterocycles, 1992, 34, 2363
- Takemura, Y. et al., Heterocycles, 1994, 38, 1937
Este artículo ha sido escrito por Wikipedia. El texto está disponible bajo la licencia Creative Commons - Atribución - CompartirIgual. Pueden aplicarse cláusulas adicionales a los archivos multimedia.