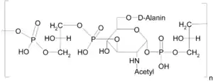
Ácido teicoico
Los ácidos teicoicos son polímeros de un polialcohol (glicerol o ribitol) unidos mediante enlaces fosfodiéster. Estos ácidos se encuentran en la pared celular de las bacterias Gram-positivas, tales como Staphylococcus, Streptococcus, Bacillus, Clostridium, Corynebacterium y Listeria, extendiéndose sobre la superficie de la capa de peptidoglicano.

Características
Los ácidos teicoicos se presentan entre las bacterias grampositivas. Se pueden enlazar covalentemente al ácido N-acetilmurámico de la capa de peptidoglicano o bien unirse a los lípidos presentes en la membrana citoplasmática. Las unidades combinadas compuestas de ácidos teicoicos y lípidos se denominan ácidos lipoteicoicos. Los ácidos teicoicos están cargados negativamente y por lo tanto contribuyen a la carga negativa de la pared celular Gram-positiva. También pueden proporcionar soporte estructural a la pared celular.
Propiedades funcionales de los ácidos teicoicos
1. Da factor de antigenicidad.
2. Controla el tránsito de algunos cationes como el Mg++.
3. Regula la actividad de los auto lisosomas, por lo que controlan la autolisis.
4. Fomenta la adherencia bacteriana a epitelios